Magna Concursos

Foram encontradas 868 questões.

778777 Ano: 2019
Disciplina: Engenharia Química
Banca: DIRENS Aeronáutica
Orgão: CIAAR
O escoamento de água, em fluxo turbulento, em uma tubulação de aço inoxidável AISI 304, com diâmetro de 6 polegadas com brusca redução para 3 polegadas, levou à deterioração do aço com a formação de pites pouco depois do ponto de redução do diâmetro da tubulação.
Com base no exposto, é correto afirmar que a tubulação sofreu corrosão por
 

Provas

Questão presente nas seguintes provas
778771 Ano: 2019
Disciplina: Odontologia
Banca: DIRENS Aeronáutica
Orgão: CIAAR
Provas:
O advento dos sistemas adesivos alterou os conceitos de preparos cavitários e possibilitou a preservação de estrutura dentária sadia através da união micromecânica entre o substrato dentário e a resina composta.
A esse respeito, a sequência que apresenta corretamente os três fatores considerados fundamentais para o estabelecimento de um contato íntimo entre o substrato dentário e o adesivo é
 

Provas

Questão presente nas seguintes provas
778768 Ano: 2019
Disciplina: Pedagogia
Banca: DIRENS Aeronáutica
Orgão: CIAAR
Provas:
A escola é o lugar privilegiado para a socialização sistemática e intencional dos saberes socialmente construídos pela humanidade.
Assim sendo, faz parte da função social da escola
 

Provas

Questão presente nas seguintes provas
778755 Ano: 2019
Disciplina: Odontologia
Banca: DIRENS Aeronáutica
Orgão: CIAAR
Provas:
Um dos achados mais importantes, no que diz respeito ao padrão de colonização dos canais radiculares, refere-se ao biofilme endodôntico. Enquanto algumas células bacterianas se encontram em suspensão na fase fluida na luz do canal principal, e misturadas com o tecido necrosado, grandes aglomerados bacterianos são vistos aderidos às paredes do canal em multicamadas e multiespécies.
Em relação aos critérios propostos para estabelecer a relação causal entre o biofilme e a doença por ele causada, avalie as afirmações.
I. A infecção é passível de ser eliminada com antibióticos, pois os microrganismos responsáveis são suceptíveis a eles.
II. O hospedeiro é ineficaz para debelar a infecção, o que pode ser evidenciado pela localização de colônias bacterianas, em áreas teciduais, associada a intenso infiltrado inflamatório.
III. A infecção geralmente não se limita a uma localização particular e se difunde, colonizando tecidos circundantes.
IV. A eliminação ou a pertubação significativa da estrutura e da ecologia do biofilme leva à remissão da doença.
Está correto apenas o que se afirma em
 

Provas

Questão presente nas seguintes provas
778750 Ano: 2019
Disciplina: Contabilidade Geral
Banca: DIRENS Aeronáutica
Orgão: CIAAR
Entidades controladas em conjunto, também conhecidas como joint ventures, representam uma forma de reunir recursos detidos por investidores distintos, em prol da viabilização de um empreendimento comum.
Acerca da caracterização da figura do controle conjunto de uma entidade, é correto afirmar que
 

Provas

Questão presente nas seguintes provas
778738 Ano: 2019
Disciplina: Administração Geral
Banca: DIRENS Aeronáutica
Orgão: CIAAR
Provas:
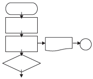
Observe atentamente o fluxograma a seguir.
Enunciado 2643177-1
No fluxograma, qual é a sequência ideal de ações para cada figura apresentada?
 

Provas

Questão presente nas seguintes provas
778734 Ano: 2019
Disciplina: Pedagogia
Banca: DIRENS Aeronáutica
Orgão: CIAAR
Provas:
Libâneo (2013), em sua obra Didática, apresenta as principais tendências pedagógicas. Cada uma delas com determinada visão de mundo, homem, ensino, aprendizagem e avaliação.
Em relação à visão de mundo, associe corretamente a tendência a seu principal pressuposto.
TENDÊNCIAS
(1) Progressista libertadora
(2) Liberal renovada
(3) Liberal tecnicista
(4) Liberal tradicional
PRINCIPAIS PRESSUPOSTOS
(...) Esta tendência define a educação como um ato eminentemente político. Também é denominada como teoria crítica da educação.
(...) A atividade de ensinar é centrada no professor que expõe e interpreta os conteúdos. Há ênfase em processos como memorização, e repetição e seu objetivo é a formação de um aluno ideal, desvinculado de sua realidade concreta.
(...) Baseada no planejamento minucioso do trabalho a ser desenvolvido em sala. Possui um caráter instrumental voltado para a racionalização do ensino por meio de técnicas que garantam tanto a eficácia quanto a eficiência do processo educativo.
(...) Acredita que o aluno pode aprender se lhe forem dadas as condições necessárias para tanto, ou seja, o meio em que ele está inserido interfere diretamente em seu desenvolvimento escolar. Acredita também na neutralidade do processo educativo ao mesmo tempo em que enfatiza o respeito à liberdade de expressão por parte dos alunos, sendo estes o centro do processo educativo.
A sequência correta é
 

Provas

Questão presente nas seguintes provas
778708 Ano: 2019
Disciplina: Odontologia
Banca: DIRENS Aeronáutica
Orgão: CIAAR
Provas:
A irrigação ultrassônica passiva (Passive Ultrasonic Irrigation - PUI) foi descrita pela primeira vez por Weller et al. em 1980 e baseia-se na transmissão de energia acústica de uma lima oscilante ou de um fio liso à solução irrigadora no canal radicular.
Sobre a PUI, é correto afirmar que
 

Provas

Questão presente nas seguintes provas
778695 Ano: 2019
Disciplina: Odontologia
Banca: DIRENS Aeronáutica
Orgão: CIAAR
Provas:
A perda óssea marginal, no primeiro ano de função após a cirurgia de estágio II, é uma situação clínica que ocorre com frequência.
Dentre os vários fatores que contribuem para esse fenômeno, é correto afirmar que aquele que está ao controle do cirurgião-dentista para minimizar essa situação é a/o
 

Provas

Questão presente nas seguintes provas
778690 Ano: 2019
Disciplina: Engenharia Elétrica
Banca: DIRENS Aeronáutica
Orgão: CIAAR
Do ponto de vista da linha de transmissão que alimenta a antena, esta pode ser encarada como uma impedância conhecida como “impedância de entrada da antena”.
Sobre esse tema, avalie as afirmações a seguir.
I. A impedância de entrada de uma antena varia com a frequência e a antena é especificada para trabalhar dentro de uma faixa de frequências na qual a sua impedância de entrada apresenta valores adequados.
II. A antena é um dispositivo recíproco, porém sua impedância de entrada depende se ela vai ser utilizada como transmissora ou como receptora, mesmo que seja na mesma frequência.
III. Normalmente a impedância de entrada da antena é especificada em termos de um valor nominal (resistivo) e de certa tolerância em torno desse valor por meio de valores limites do ROE (SWR) ou da perda de retorno.
Está correto apenas o que se afirma em
 

Provas

Questão presente nas seguintes provas