Foram encontradas 897 questões.
Provas
Qual das alternativas abaixo indica reparo anatômico formado pelos ossos nasais e maxilares, iniciado na região medial da borda anteroinferior da órbita, seguindo em direção inferior para desembocar na cavidade nasal, abaixo da concha inferior, pode ser visualizado em radiografias periapicais na região acima do ápice dos caninos, especialmente quando é aplicada angulação vertical maior, além de projeções oclusais?
Provas
( ) Objetiva discutir a relação entre trabalho e subjetividade.
( ) É uma disciplina estritamente teórica, sem aplicação clínica.
( ) Tem como principal pilar a Abordagem Centrada na Pessoa de Carl Rogers.
Provas
As cerâmicas o dontológicas são materiais muito utilizados atualmente para responder à demanda estética com diferentes indicações. Sobre esses materiais, preencha as lacunas da assertiva abaixo.
As cerâmicas vítreas ou são confeccionadas em troquel refratário e indicadas para cobertura de copings e facetas. As cerâmicas vítreas reforçadas por leucita são indicadas para restaurações parciais e , facetas e coroas . Cerâmicas reforçadas por dissilicato de lítio apresentam indicações semelhantes, além de anterior até 3 elementos.
Assinale a alternativa com a sequência correta.
Provas
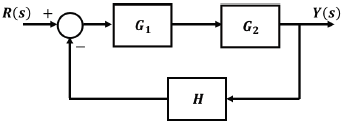
Veja a representação em blocos de um sistema de controle em malha fechada.

Fonte: Arquivo da Banca Elaboradora.
Qual alternativa apresenta corretamente a função transferência !$ G_{MF} = { \Large { Y(s) \over R(s)}} !$
Provas
Quais são os exames mais comumentes solicitados pelo cirurgião no pré-operatório de centro cirúrgico para um paciente aparentemente hígido, que deverá ser submetido à cirurgia sob anestesia geral?
Provas
Provas
Considerando as lesões cervicais não cariosas, preencha as lacunas da assertiva abaixo.
Dependendo da quantidade de perdido(a), da presença de e do envolvimento estético e funcional, pode-se optar por intervenções no dente afetado, seja por meio de métodos , como aplicação de agentes dessensibilizantes, selantes e laserterapia, ou, em estágios mais avançados de perda de estrutura dental, a realização de tratamento restaurador com ou .
Assinale a alternativa que apresenta a sequência correta.
Provas
Disciplina: TI - Redes de Computadores
Banca: DIRENS Aeronáutica
Orgão: CIAAR
- Modelo OSIIntrodução ao Modelo OSI
- Modelo OSIModelo OSI: Camada Física
- Modelo OSIModelo OSI: Camada de Enlace
Provas
Erros na observação dos fatores geométricos das tomadas radiográficas produzem alterações nas imagens resultantes. Corresponde a resultado radiográfico resultante de erro de angulação vertical em uma tomada intrabucal
Provas
Caderno Container