Foram encontradas 897 questões.
Os tiristores compõem uma família de dispositivos semicondutores. São amplamente utilizados em circuitos eletrônicos de potência operando como chaves biestáveis passando do estado de não condução para o de condução. Podem ser considerados chaves ideais para muitas aplicações, mas, na prática, apresentam certas características e limitações.
Em relação às características dos tiristores são feitas as afirmativas apresentadas abaixo.
I. O tiristor é um dispositivo semicondutor de três camadas PNP e duas junções pn.
II. A corrente de manutenção (holding current) é a corrente mínima de anodo que mantém o tiristor no estado ligado.
III. A corrente direta de anodo deve ser superior à sua corrente de travamento (latching current) para que o tiristor permaneça no estado de condução quando o pulso do gate é retirado.
Estão corretas as afirmativas
Provas
Dentre as teorias de controle do crescimento postuladas por diversos pesquisadores mundiais no século passado tais como Moss, Sicher, dentre outros. Podemos afirmar que a Teoria da(os)
Provas
Disciplina: TI - Sistemas Operacionais
Banca: DIRENS Aeronáutica
Orgão: CIAAR
- LinuxArmazenamento no Linuxinodes
- Sistemas de ArquivosComparativo entre Sistemas de Arquivos
- Sistemas de ArquivosMétodos de Alocação de Espaço em Disco
Provas
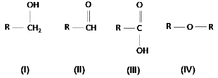
Analise as estruturas químicas a seguir.

Fonte: Arquivo da Banca Elaboradora.
Segundos os grupos funcionais, podemos dizer que as substâncias I, II, III e IV, nessa ordem, são:
Provas
O Ameloblastoma é um tumor odontogênico benigno, de comportamento agressivo e com altas taxas de recidivas. Sendo assim, em grande partes dos casos necessita uma abordagem mais decisiva através de um acesso cirúrgico adequado. Considerando um caso de um Ameloblastoma de terço médio de face, que se estende da maxila esquerda, ao seio maxilar, palato, cavidade nasal e que ultrapassa a linha média de face na região anterior, qual acesso cirúrgico permite um melhor controle no tratamento e o melhor resultado para o paciente?
Provas
Disciplina: TI - Desenvolvimento de Sistemas
Banca: DIRENS Aeronáutica
Orgão: CIAAR
- Compilação e Interpretação de CódigoAnálise Léxica
- Compilação e Interpretação de CódigoAnálise Semântica
- Compilação e Interpretação de CódigoAnálise Sintática
- Compilação e Interpretação de CódigoCompilação
Na compilação, a análise consiste em três fases: análise léxica, análise sintática e análise semântica. Considerando o enunciado de atribuição y = x + z * 2 e feita a análise sintática, x + z seria um(a)
Provas
A resistência de união na interface pino/cimento/raiz depende de vários fatores, como a desidratação dentinária do canal radicular, anatomia desfavorável do canal, uso de eugenol e da espessura dos túbulos dentinários ao longo do canal. Sobre a cimentação dos pinos intrarradiculares, informe se as afirmativas abaixo são verdadeiras (V) ou falsas (F).
( ) As técnicas autoadesivas podem ser vantajosas, pois permitem resistência de união satisfatória quando utilizadas para cimentar pinos de fibra, simplificando os procedimentos clínicos.
( ) Sistemas adesivos de condicionamento total, mesmo com uma maior quantidade de passos no conduto radicular, apresentam maior resistência de união considerando os cimentos resinosos fotoativados.
( ) Independentemente da presença do pino no interior do canal, a quantidade de luz emitida através do conduto diminui de tal forma que é insuficiente para promover adequada polimerização do cimento, principalmente na região apical.
( ) Os cimentos utilizados comumente para cimentar pinos intrarradiculares metálicos fundidos são os cimentos de polialcenoato de vidro e os cimentos de fosfato de zinco. Este último apresenta facilidade na técnica, pequena espessura de cimento e sucesso clínico comprovado.
Assinale a alternativa que apresenta a sequência correta.
Provas
Os profissionais que realizam o atendimento odontológico domiciliar (home care), geralmente são chamados quando o paciente, ou seu cuidador, relata suspeita de dor, presença de sinais clínicos visíveis como edema e fístulas. As afirmativas abaixo se referem ao atendimento odontológico domiciliar.
I. No atendimento domiciliar não é realizado tratamento endodôntico.
II. O ideal é que na primeira consulta não seja realizada nenhuma intervenção mais invasiva.
III. A área de atuação do cirurgião-dentista que realiza este tipo de atendimento não se restringe apenas à residência do paciente.
IV. Procedimentos mais invasivos, como cirurgias em indivíduos com comprometimento sistêmico grave são contra-indicados para atendimento domiciliar.
Está correto apenas o que se afirma em
Provas
As seguintes afirmativas se referem aos efeitos do tabagismo na resposta à terapia periodontal.
I. Aumento da necessidade de retratamento nos fumantes.
II. Diminuição da resposta clínica ao debridamento da superfície radicular.
III. Diminuição do ganho nos níveis de inserção clínica após terapia cirúrgica.
IV. Aumento da profundidade da bolsa e perda de inserção durante a terapia de manutenção.
Está correto o que se afirma em
Provas
A se n hora GMO, 70 anos, portadora de cardiopatia, diabetes, em tratamento com os medicamentos enalapril 10mg – 1-0-1, metformina 850 mg 1-1-1, amiodarona 200mg 1-0-0, clopidogrel 75mg 0-1-0. Foi hospitalizada apresentando mal-estar, alterações cognitivas e depressão. Os resultados laboratoriais detectaram níveis de TSH de 40 mU/ml (valor de referência 0,35 a 5,5mU/ml). Para otimizar a farmacoterapia da paciente, o serviço de farmácia clínica deve realizar uma intervenção sugerindo a suspensão de qual medicamento?
Provas
Caderno Container