Foram encontradas 72 questões.
Os principais desafios de Alagoas para implementação da mecanização da colheita da cana-de-açúcar estão ligados, sobretudo:
Provas
Questão presente nas seguintes provas
TEXTO 1
Português, a língua mais difícil do
mundo? Conta outra! .
Alguns mitos resistentes rondam como mosquitos chatos a língua portuguesa falada no Brasil. Diante deles, argumentações fundadas em fatos e um mínimo de racionalidade são tão inúteis quanto tapas desferidos às cegas no escuro do quarto em pernilongos zumbidores. Os tapas acertam o vazio, os zumbidos continuam lá.
A lenda de que se fala no estado do Maranhão o português mais “correto” do Brasil é uma dessas balelas aceitas por aí como verdades reveladas – e nem os tristíssimos índices educacionais maranhenses podem fazer nada contra isso. Tapas no vazio.
Outra bobagem de grande prestígio é aquela que sustenta ser o português “a língua mais difícil do mundo”. Baseada, talvez, na dor de cabeça real que acomete estrangeiros confrontados com a arquitetura barroca de nossos verbos, a afirmação é categórica o bastante para dispensar a necessidade de uma prova.
O sujeito erra o gênero da palavra alface e pronto, lá vem a desculpa universal: “Ah, também, como é difícil a porcaria dessa língua! Ah, se tivéssemos sido colonizados pelos holandeses!” Não, claro que isso não quer dizer que o queixoso saiba falar holandês. É justamente na imensa parcela monoglota da população que a crença na dificuldade insuperável da língua portuguesa encontra solo mais fértil.
Não é uma conclusão a que se chegue depois de estudar judiciosamente latim, alemão, húngaro, russo e japonês. Ninguém precisa ter encarado um idioma em que se use declinação – vespeiro do qual a gramática portuguesa nos poupou – para sair deplorando em altos brados o desafio invencível da crase. Não há dúvida de que o mito das agruras superlativas do português diz muito sobre a falência educacional brasileira, cupim que rói as fundações de qualquer projeto de desenvolvimento social que vá além da promoção de um maior acesso da população a shopping centers.
Temo, porém, que suas raízes sejam mais profundas. Percebe-se aí uma mistura tóxica de autocomplacência, autodepreciação, ufanismo, fuga da realidade e desculpa esfarrapada que pode ser ainda mais difícil de derrotar do que nosso vicejante semianalfabetismo.
http://veja.abril.com.br/blog/sobre-palavras/cronica/portugues-alingua-
mais-dificil-do-mundo-conta-outra/
O Texto 1, em suas ideias centrais, pretende argumentar a favor:
Provas
Questão presente nas seguintes provas
A Sociologia: por quê?
Provas
Questão presente nas seguintes provas
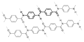
O kevlar, uma fibra robusta usada em coletes a prova de bala, roupas e luvas protetoras contra calor e fogo, etc., apresenta a seguinte fórmula estrutural:

O kevlar pode ser produzido pelos monômeros:

Com relação aos compostos acima, analise as afirmações seguintes.
1) O kevlar apresenta em sua estrutura grupos amida e ligações de hidrogênio.
2) O monômero A é o 1,4-diamino bezeno.
3) O monômero B possui dois grupos fenol e dois grupos hidroxila.
Está(ão) correta(s):
Provas
Questão presente nas seguintes provas
805693
Ano: 2015
Disciplina: Literatura Brasileira e Estrangeira
Banca: FADURPE
Orgão: CESMAC
Disciplina: Literatura Brasileira e Estrangeira
Banca: FADURPE
Orgão: CESMAC
Provas:
Uma significativa produção do Romantismo brasileiro — seja na prosa, seja na poesia — se inscreve na chamada vertente indianista. De Gonçalves Dias, passando por José de Alencar, Visconde de Taunay e Machado de Assis, o indianismo esteve presente em várias obras dos oitocentos. Dentre outras fontes, o indianismo vai beber os seus fundamentos literários em qual princípio filosófico?
Provas
Questão presente nas seguintes provas
Hispanoamérica y España
Coincidiendo con el bicentenario de "La Pepa", la Constitución aprobada en Cádiz en 1812, se ha celebrado en la ciudad andaluza la XXII Cumbre Iberoamericana, donde también tuvo lugar, la semana precedente, la Asamblea Parlamentaria Euro-Latinoamericana, conocida como Eurolat. Ello me da la oportunidad de dedicar este comentario a nuestras siempre importantes relaciones con las naciones hermanas del otro lado del charco, que yo llamo Hispanoamérica, aun siendo consciente de lo impropio de una denominación que no incluye a Portugal y Brasil, pero que la prefiero a la de Iberoamérica, sin duda más apropiada, pero que pocos saben lo que es; y al de América Latina, impuesto por Francia para no verse al margen de un acontecimiento histórico de la trascendencia del descubrimiento y conquista de las tierras del Nuevo Mundo, y que es el preferido por las mismas naciones latinoamericanas. Lo que no deja de ser en cierto modo paradójico, cuando vemos que, por ejemplo, en los Estados Unidos, llaman hispanos a los originarios de América Central y del Sur.
Históricamente, desde los procesos de independencia iniciados en 1810 hasta hace relativamente poco tiempo, esas relaciones fueron más retóricas que otra cosa, aunque a ambos lados del Atlántico se utilizara con cierta frecuencia el eufemismo de una Madre Patria para hablar de unas relaciones que solo en casos y períodos concretos estuvieron dotadas de algún contenido. Nadie duda de que esas relaciones tuvieron una particular relevancia en los casos de la emigración española a Uruguay, Cuba o Venezuela en distintos momentos de la historia; o de las singulares relaciones de la Argentina de Perón con la España franquista. Pero más allá de esos ejemplos, no fue hasta nuestra incorporación a lo que hoy es la Unión Europea, en 1986, cuando los dirigentes iberoamericanos advirtieron la oportunidad de una necesaria nueva relación que habría de ser beneficiosa para todos.
Fue así como se iniciaron las Cumbres Iberoamericanas, cuya primera edición tuvo lugar en 1991, en la emblemática ciudad mexicana de Guadalajara; y no menos emblemática ha sido la elección de Cádiz para esta última Cumbre. Fue en las Cortes de Cádiz donde se aprobó la Constitución de 1812, y en la que los líderes de las entonces emergentes nuevas repúblicas tuvieron una presencia y un papel tan destacado. España ha jugado un papel muy relevante en la nueva dimensión adquirida por las relaciones de la Unión Europea con América Latina y ha sido el catalizador que ha hecho posible sucesivos acuerdos comerciales y de cooperación de la Unión Europea con Chile y México, primero, y más tarde con América Central y algunos países de la Comunidad Andina de Naciones, la CAN, como Colombia y Perú. España es hoy el segundo inversor, después de los Estados Unidos, y en algunos países es el primero. La presencia de nuestras empresas en México, Chile, Argentina y Brasil es muy importante; y en Colombia, Ecuador, Perú, Bolivia y otros países centroamericanos esa presencia ha sido progresivamente creciente, en sectores estratégicos para ambas partes. Es verdad que esas relaciones económicas y comerciales no han estado desprovistas de ciertos conflictos en algunos casos, como en Venezuela, Argentina y, en menor grado, Bolivia.
Estos son, en resumen, los ingredientes más destacados que merecen ser citados a propósito de las relaciones entre España Hispanoamérica, que tanta presencia mediática han tenido durante los últimos días, como consecuencia de la celebración en Cádiz de la Cumbre de la Comunidad iberoamericana.
Fernando Fernández http://eldia.es/criterios/
A propósito del término Hispanoamérica y del concepto que encierra, según la visión del autor del texto, podemos afirmar que:
1) en parte, se trata de una denominación impropia, porque excluye a Brasil y Portugal.
2) es preferible a Iberoamérica, porque nadie sabe definir con precisión lo que esta última pudiera ser.
3) es más aceptable que América Latina, porque, en verdad, esta denominación es una invención de los franceses.
4) antes que Hispanoamérica, las naciones latinoamericanas prefieren la denominación América Latina.
5) está presente en el imaginario de los Estados Unidos, pues se llama hispanos a quienes provienen de esta región.
Son correctas:
Provas
Questão presente nas seguintes provas
Uma cúpula semiesférica é colocada sobre uma quadra de tênis, que tem a forma de um retângulo com 32 m de comprimento e 12 m de largura. A circunferência máxima da semiesfera fica circunscrita ao retângulo. Se o material de construção da semiesfera custa R$ 20,00 o metro quadrado, quanto custará a cúpula? Observação: a cúpula não inclui o círculo máximo de sua base.
Dado: use a aproximação: !$ \pi \approx 3,14 !$.

Provas
Questão presente nas seguintes provas
A atividade econômica se traduz pela criação de valor adicionado mediante a produção de bens e serviços, com a utilização de trabalho, de capital e de insumos (matérias-primas).
Qual a definição correta que pode ser dada a “valor adicionado”, referido na frase?
Provas
Questão presente nas seguintes provas
803991
Ano: 2015
Disciplina: Literatura Brasileira e Estrangeira
Banca: FADURPE
Orgão: CESMAC
Disciplina: Literatura Brasileira e Estrangeira
Banca: FADURPE
Orgão: CESMAC
Provas:
Lima Barreto e a sua obra estão inseridos na chamada literatura pré-modernistas. Crítico da sociedade do seu tempo e dos descaminhos que o projeto republicano foi tomando no Brasil, Lima Barreto também abordou em sua obra outros temas como:
1) o racismo e a herança da escravidão.
2) a herança armorial na cultura brasileira.
3) o nacionalismo xenofóbico.
4) a defesa da nobreza agrária.
5) a vida intelectual carioca.
Estão corretas:
Provas
Questão presente nas seguintes provas
Um gás ideal encontra-se inicialmente com pressão, volume e temperatura absoluta denotados, respectivamente, por !$ p_0 !$, !$ V_0 !$ e !$ T_0 !$. O gás passa por uma transformação isotérmica, de modo que a sua pressão final torna-se o dobro da pressão inicial !$ p_0 !$. O volume final do gás após esta transformação é:
Provas
Questão presente nas seguintes provas
Cadernos
Caderno Container