Magna Concursos

Foram encontradas 32.173 questões.

4059039 Ano: 2026
Disciplina: Estatística
Banca: CESPE / CEBRASPE
Orgão: TELEBRAS

Julgue o item a seguir, referente a estimação pontual.

Considerando-se que X1, X2 e X3 denotem cópias independentes e identicamente distribuídas de uma variável aleatória X com distribuição de Poisson (θ), cuja função de probabilidade é dada por Pθ (X=x)= ( θx / x! ) e–θ , em que x = 0, 1, 2, ..., é correto afirmar que T = X1 + X2 é uma estatística suficiente para θ.

 

Provas

Questão presente nas seguintes provas
4059038 Ano: 2026
Disciplina: Estatística
Banca: CESPE / CEBRASPE
Orgão: TELEBRAS

Julgue o item a seguir, referente a estimação pontual.

Os estimadores obtidos pelo método dos mínimos quadrados são aqueles que maximizam a soma dos quadrados dos erros.

 

Provas

Questão presente nas seguintes provas
4059037 Ano: 2026
Disciplina: Estatística
Banca: CESPE / CEBRASPE
Orgão: TELEBRAS
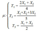
        X1, X2 e X3 denotam cópias independentes e identicamente distribuídas de uma variável aleatória X, com média
µ ∈ (−∞,+∞) e variância σ2 > 0. A seguir, apresentam-se alguns estimadores para o parâmetro µ. 
Enunciado 4527701-1

Com base nas informações precedentes, julgue o item seguinte.

Entre os três estimadores apresentados, T2 é o mais eficiente.

 

Provas

Questão presente nas seguintes provas
4059036 Ano: 2026
Disciplina: Estatística
Banca: CESPE / CEBRASPE
Orgão: TELEBRAS
        X1, X2 e X3 denotam cópias independentes e identicamente distribuídas de uma variável aleatória X, com média
µ ∈ (−∞,+∞) e variância σ2 > 0. A seguir, apresentam-se alguns estimadores para o parâmetro µ. 
Enunciado 4527700-1

Com base nas informações precedentes, julgue o item seguinte.

T1 e T2 são estimadores não viesados (ou centrados) para µ.

 

Provas

Questão presente nas seguintes provas
4059035 Ano: 2026
Disciplina: Estatística
Banca: CESPE / CEBRASPE
Orgão: TELEBRAS
        X1, X2 e X3 denotam cópias independentes e identicamente distribuídas de uma variável aleatória X, com média
µ ∈ (−∞,+∞) e variância σ2 > 0. A seguir, apresentam-se alguns estimadores para o parâmetro µ. 
Enunciado 4527699-1

Com base nas informações precedentes, julgue o item seguinte.

Apenas os estimadores T2 e T3 são consistentes para µ.

 

Provas

Questão presente nas seguintes provas
4059034 Ano: 2026
Disciplina: Estatística
Banca: CESPE / CEBRASPE
Orgão: TELEBRAS

Considerando que X1, X2, ..., Xn sejam cópias independentes e identicamente distribuídas de uma variável aleatória X com função de densidade de probabilidade f(x,ϕ), julgue o próximo item.

O estimador dos momentos para o parâmetro ϕ é a quantidade que minimiza a soma dos quadrados dos erros.

 

Provas

Questão presente nas seguintes provas
4059033 Ano: 2026
Disciplina: Estatística
Banca: CESPE / CEBRASPE
Orgão: TELEBRAS

Considerando que X1, X2, ..., Xn sejam cópias independentes e identicamente distribuídas de uma variável aleatória X com função de densidade de probabilidade f(x,ϕ), julgue o próximo item.

Por definição, um estimador para o parâmetro ϕ é qualquer função da amostra observada que assume valores no espaço paramétrico e que não depende do parâmetro que está sendo estimado.

 

Provas

Questão presente nas seguintes provas
4059032 Ano: 2026
Disciplina: Estatística
Banca: CESPE / CEBRASPE
Orgão: TELEBRAS

Considerando que X1, X2, ..., Xn sejam cópias independentes e identicamente distribuídas de uma variável aleatória X com função de densidade de probabilidade \(f(x,ϕ)\), julgue o próximo item.

O estimador de máxima verossimilhança para o parâmetro \(ϕ \) é a quantidade \(\widehat{ϕ}\) que faz que os dados observados sejam mais prováveis (ou plausíveis) de ocorrerem.

 

Provas

Questão presente nas seguintes provas
4059031 Ano: 2026
Disciplina: Estatística
Banca: CESPE / CEBRASPE
Orgão: TELEBRAS

Considerando uma amostra aleatória simples X1 , … , Xn retirada de uma distribuição exponencial com média igual a 2, julgue o seguinte item, a respeito da soma Sn = X1 + … + Xn


A variância de Sn é igual a 2n.

 

Provas

Questão presente nas seguintes provas
4059030 Ano: 2026
Disciplina: Estatística
Banca: CESPE / CEBRASPE
Orgão: TELEBRAS

Considerando uma amostra aleatória simples X1 , … , Xn retirada de uma distribuição exponencial com média igual a 2, julgue o seguinte item, a respeito da soma Sn = X1 + … + Xn


De acordo com a lei fraca dos grandes números, à medida que o tamanho da amostra aumenta, Sn converge em probabilidade para uma distribuição normal.

 

Provas

Questão presente nas seguintes provas