Foram encontradas 13.249 questões.

A classe das quinolonas apresenta atividade antibacteriana, particularmente contra as bactérias Gram-positivas. A norfloxacina, a ciprofloxacina e a ofloxacina são antibióticos quinolônicos de segunda geração muito usados no tratamento de infecção urinária. Com base na rota de síntese apresentada na figura acima, assinale a opção correta.
Provas

Considerando a figura acima, que apresenta a síntese racêmica do alcaloide (+/!)-hidroxicrebanina, assinale a opção correta.
Provas

A salinosporamida A foi isolada de microrganismos marinhos e possui alta atividade citotóxica e antitumoral. Com base no esquema apresentado na figura acima, assinale a opção correta.
Provas

A (S)-camptotecina é um alcaloide pentacíclico usado no tratamento do câncer. Considerando a figura acima, que apresenta um esquema para a síntese desse composto, assinale a opção correta.
Provas

A procura e o consumo do antiviral tamiflu expandiram-se com o surto da gripe suína em 2009. Esse antiviral pode ser produzido a partir do ácido quiral (!)-shikimico, como mostrado na figura acima. Com base nessa figura, assinale a opção correta.
Provas

As reações de Ugi são importantes métodos sintéticos que se enquadram na definição de reações multicomponentes. Nessas reações são obtidas estruturas complexas, em que quatro substâncias diferentes reagem para produzir peptoides com amplo espectro de atividades farmacológicas. A ecteinascidina 743, cuja síntese é mostrada na figura acima, é um agente antitumoral extremamente potente isolado de um tunicado marinho. Com relação ao assunto e à reação mostrada, assinale a opção correta.
Provas

Metodologias assimétricas são frequentemente utilizadas na síntese de diversas substâncias biotivas. Entre esses métodos, está a reação de redução assimétrica desenvolvida por Noyori, em que altos excessos enantioméricos são obtidos utilizando catalisadores de rutênio. Com relação à figura acima, assinale a opção correta.
Provas

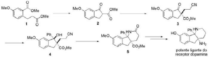
Com base na figura acima e em relação às condições reacionais para a obtenção de cada intermediário sintético, assinale a opção correta.
Provas

Com base na rota sintética proposta acima para a síntese do depsipeptídeo stevastelina B, um potente agente imunossupressor, assinale a opção correta.
Provas

Métodos alternativos à síntese de Fisher para a formação de núcleos indólicos vêm sendo desenvolvidos ao longo das últimas décadas. Um desses métodos foi utilizado na síntese do inibidor da fosfolipase A2, o LY311727, em que um derivado quinona reage com uma enaminona formando o núcleo indólico substituído, reação mostrada na figura acima. Acerca dessa reação, assinale a opção correta.
Provas
Caderno Container