Foram encontradas 13.249 questões.

O albuterol é um broncodilatador utilizado no tratamento da asma. Acerca da sequência sintética acima, assinale a opção correta.
Provas

As reações de Mukaiyama nada mais são que reações de aldol utilizando sililenoléteres. Algumas metodologias assimétricas dessa reação vêm sendo desenvolvidas e aplicadas na síntese estereosseletiva de inúmeras moléculas bioativas. Um exemplo dessa aplicação pode ser observado na síntese de dois fragmentos da esfingofungina B utilizando a reação de aldol de Mukaiyama, ilustrada na figura acima. Com relação a essas reações, assinale a opção correta.
Provas

O potente antibiótico antitumoral MACROLÍDEO (!)-laulimalido possui um estrutura macrocíclica de 18 membros e algumas etapas de sua rota sintética estereosseletiva estão representadas na figura acima. Considerando essa rota sintética, assinale a opção correta.
Provas

A reação de alquilação de Meyers utiliza como auxiliar quiral a D- ou L-efedrina. A (!)-dictiostatina, cuja síntese é ilustrada acima, é um macrolídeo natural com atividade antitumoral que foi sintetizada usando a metodologia de Meyers. Acerca dessa reação, assinale a opção correta.
Provas

A loratadina, cuja síntese é representada acima, é um potente anti-histamínico com atividade sedativa. Com relação a essa reação, assinale a opção correta.
Provas

A gastrite ácida tem sido identificada como um dos maiores fatores que contribuem para o desenvolvimento de úlceras gástricas. Um dos medicamentos para o tratamento da inibição da secreção ácida gástrica que leva a quadros sintomáticos de gastrite é o omeprazol. Considerando a figura acima, que revela a síntese do omeprazol, assinale a opção correta.
Provas

A estimulação excessiva da secreção ácida produzida nas células do estômago pode levar a lesões graves da mucosa que reveste a parede do estômago e à formação de úlceras gástricas. Esse tipo de estimulação pode ser combatida com o tratamento que utiliza ranitidina, um antagonista dos receptores histamínicos H2, que leva ao alívio do mal-estar. Com base na figura acima, assinale a opção correta.
Provas

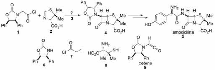
A amoxicilina é um antibiótico amplamente utilizado pela população que apresenta em sua estrutura um anel lactâmico. Considerando a figura acima, que ilustra a síntese da amoxicilina, assinale a opção correta.
Provas

Quando várias reações ocorrem em sequência em um mesmo recipiente, são chamadas de reações dominó ou reações em cascata. Esse tipo de reação pode ser observado na síntese total do alcaloide indólico (+/!)-aspidospermidina, mostrada na figura acima, em que os anéis B, C e D são formados. Acerca dessa reação, assinale a opção correta.
Provas

O uso de reagentes organometálicos é bem frequente na síntese orgânica, especialmente os reagentes de Grignard. Uma das etapas da síntese do aminoácido não proteinogênico surrogate envolve o uso de reagentes de Grignard. Com base na figura apresentada, que ilustra a referida síntese, assinale a opção correta.
Provas
Caderno Container