Magna Concursos

Foram encontradas 20.461 questões.

801595 Ano: 2014
Disciplina: Engenharia Eletrônica
Banca: FUNRIO
Orgão: IF-BA
Provas:
Em um resistor de 40 ohms, circula uma corrente, em amperes, i(t)=2 + 4senwt +4 sen2wt +2sen3wt. Determine a potência média em watts no resistor.
 

Provas

Questão presente nas seguintes provas
801590 Ano: 2014
Disciplina: Engenharia Eletrônica
Banca: FUNRIO
Orgão: IF-BA
Provas:
Um transformador tem um primário com uma bobina de indutância de 40mH, considerando-se desprezível a sua resistência. Calcule o módulo de sua reatância Z para uma frequência de 50Hz e o módulo de sua corrente I quando ligada a uma fonte de tensão de 96 V.

Dado: π=3.
 

Provas

Questão presente nas seguintes provas
801589 Ano: 2014
Disciplina: Engenharia Eletrônica
Banca: FUNRIO
Orgão: IF-BA
Provas:
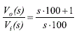
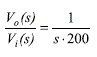
enunciado 801589-1
 

Provas

Questão presente nas seguintes provas
801584 Ano: 2014
Disciplina: Engenharia Eletrônica
Banca: FUNRIO
Orgão: IF-BA
Provas:
enunciado 801584-1
 

Provas

Questão presente nas seguintes provas
801583 Ano: 2014
Disciplina: Engenharia Eletrônica
Banca: FUNRIO
Orgão: IF-BA
Provas:
enunciado 801583-1
 

Provas

Questão presente nas seguintes provas
795902 Ano: 2014
Disciplina: Engenharia Eletrônica
Banca: VUNESP
Orgão: TJ-PA

Enunciado 795902-1

 

Provas

Questão presente nas seguintes provas
795900 Ano: 2014
Disciplina: Engenharia Eletrônica
Banca: VUNESP
Orgão: TJ-PA

O controlador lógico programável é

 

Provas

Questão presente nas seguintes provas
795898 Ano: 2014
Disciplina: Engenharia Eletrônica
Banca: VUNESP
Orgão: TJ-PA

Enunciado 795898-1

 

Provas

Questão presente nas seguintes provas
795897 Ano: 2014
Disciplina: Engenharia Eletrônica
Banca: VUNESP
Orgão: TJ-PA

O número de instruções por segundo é uma das formas de se avaliar a velocidade de microprocessadores e microcontroladores. Dado que um processador arbitrário é capaz de executar um milhão de instruções por segundo, quando seu clock é ajustado para 100 [MHz], assinale a alternativa que apresenta corretamente o tempo que esse processador deve levar para fazer cinco operações de multiplicação seguidas, considerando:

– Número de instruções para executar uma multiplicação: 4;

Clock empregado nesse processo: 400 [MHz]; e

– O número de instruções por segundo é diretamente proporcional ao clock.

 

Provas

Questão presente nas seguintes provas
795896 Ano: 2014
Disciplina: Engenharia Eletrônica
Banca: VUNESP
Orgão: TJ-PA

Enunciado 795896-1

 

Provas

Questão presente nas seguintes provas