Foram encontradas 773 questões.
Considere o modelo de estado

no qual dim [A] = n × n, dim [B] = n × m, dim [C] = r × n e dim [D] = r × m.
A condição de observabilidade completa é garantida se e somente se o posto da matriz de observabilidade é igual a(ao)
Provas
Provas
Considere a função de transferência de malha aberta na qual |z|>|p|
k(s + z) / s(s + p)(s2 + 2ps + p2 + 2p)
Considere a construção de uma malha fechada com esse sistema no seu ramo direto e realimentação unitária, e que k1 e k3 são ganhos para os quais a malha fechada possui polos reais iguais, e k2 é o ganho no qual a malha fechada passa a ser instável.
Considerando-se k1 < k2 < k3 , conclui-se que modos superamortecidos estarão presentes na resposta dinâmica estável dessa malha fechada para
Provas
O sistema de malha fechada descrito acima é
Provas
Provas
Considere o Lugar Geométrico das Raizes (LGR) da Figura abaixo.

Considerando-se as informações acima, verifica-se que K = 3 é o ganho
Provas
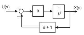
Considere o diagrama de blocos de um sistema de controle.

O fator de amortecimento da malha fechada desse sistema é
Provas
Provas
Uma das possíveis inconsistências que devem ser evitadas são as malhas
Provas
Na Figura abaixo, representa-se o controle exercido na velocidade de um motor CC.

De acordo com a Figura, está sendo empregado o controle pelo(a)
Provas
Caderno Container