Foram encontradas 773 questões.
Considere a função de transferência padrão de um sistema dinâmico de 2a ordem, com um zero na origem

Supondo-se condições iniciais nulas, a resposta no tempo desse sistema a uma rampa unitária aplicada no instante de tempo t = 2 segundos é
Provas
yi+1 = yi + h f(xi , yi )
Essa fórmula de recorrência descreve um método numérico para solução computacional de equações diferenciais.
Tal método é o de
Provas
O Teorema da Derivada da Transformada de Laplace estabelece que

Assim sendo,
é igual a
Provas
Considere que dois elementos dinâmicos são acoplados com transferência de potência entre eles.
O efeito descrito acima é o de
Provas
Suponha um elemento dinâmico cuja relação entre as variáveis de potência seja dada por
![]()
na qual k é uma constante dependente das propriedades físicas e geométricas do elemento.
Esse elemento dinâmico é um
Provas

Considere que há conservação de potência na transferência da potência do domínio 1, associado às variáveis (e1 , f1 ), para o domínio 2, relacionado às variáveis (e2 , f2 ), quando tais domínios são acoplados pelo girador.
Qual é a relação entre ke e kf ?
Provas

Considere que esse componente foi excitado por uma função periódica composta por senos e/ou cossenos, com frequências 0,01, 0,05, 0,08, 0,2 e 0,4 rad/s.
A saída desse componente será
Provas
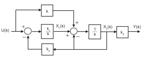
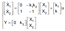
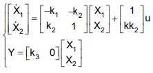
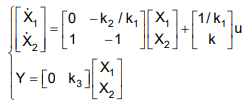
Considere o diagrama de blocos abaixo.

O modelo de estado associado ao diagrama de blocos é o seguinte:
Provas
Provas
Considere a FT de um controlador PID contínuo

e T o período de amostragem empregado no ZOH/SOZ do conversor A/D conectado ao controlador.
Nesse contexto, a FT do PID discreto equivalente ao contínuo é:
Provas
Caderno Container