Foram encontradas 773 questões.
Os controladores PID (Proporcional-Integral-Derivativo) são amplamente utilizados
no controle de sistemas dinâmicos para melhorar o desempenho e a estabilidade. Durante o projeto
de um controlador PID, é necessário ajustar os parâmetros KpK_pKp (ganho proporcional),
KiK_iKi (ganho integral) e KdK_dKd (ganho derivativo) de acordo com as características do sistema.
Sendo assim, assinale a alternativa que descreve corretamente o efeito de cada um dos termos do
controlador PID no sistema controlado.
Provas
Questão presente nas seguintes provas
Sobre os end effectors, assinale a alternativa que apresenta corretamente a
justificativa para a escolha de ventosas a vácuo para certas aplicações.
Provas
Questão presente nas seguintes provas
Assinale a alternativa que melhor explica a importância da solução do problema da
cinemática inversa em robótica industrial.
Provas
Questão presente nas seguintes provas
Qual das seguintes características é típica de um robô SCARA?
Provas
Questão presente nas seguintes provas
Assinale a alternativa que descreve corretamente as funções dos principais
componentes de um robô industrial com feedback avançado.
Provas
Questão presente nas seguintes provas
Os sistemas robotizados são amplamente utilizados na indústria para melhorar a
produtividade e a qualidade dos processos. Com base nessa tecnologia, assinale a alternativa que
apresenta corretamente um dos principais tipos de sistemas robotizados.
Provas
Questão presente nas seguintes provas
Os FMS podem ser classificados de acordo com a quantidade de máquinas envolvidas.
Em sistemas de menor porte, a automação varia desde uma única máquina até um pequeno grupo
interligado. Considerando essa classificação, assinale a alternativa INCORRETA sobre os tipos de FMS.
Provas
Questão presente nas seguintes provas
Qual das alternativas abaixo melhor descreve a principal vantagem de um Sistema
Flexível de Manufatura (FMS)?
Provas
Questão presente nas seguintes provas

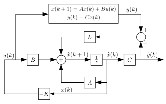
Em relação ao diagrama, assinale V (verdadeiro) ou F (falso) nas alternativas seguintes.
( ) A dinâmica de malha fechada pode ser descrita por \(x(k +1) = Ax (k) - BK \hat{x}(k). \)
( ) O estimador de estado é descrito por \(\hat{x}(k) = (A - LC)\hat{x}(k - 1) + Bu (k - 1) \).
( ) Os autovalores da matriz A devem estar contidos no círculo unitário do plano z.
A sequência correta é
Provas
Questão presente nas seguintes provas
Considere o circuito lógico mostrado na figura a seguir.

Com base na figura acima, assinale a alternativa que corresponde à expressão Booleana do circuito.
Provas
Questão presente nas seguintes provas
Cadernos
Caderno Container