Foram encontradas 90 questões.
TEXTO PARA A QUESTÃO
Psicanálise do açúcar
O açúcar cristal, ou açúcar de usina,
mostra a mais instável das brancuras:
quem do Recife sabe direito o quanto,
e o pouco desse quanto, que ela dura.
Sabe o mínimo do pouco que o cristal
se estabiliza cristal sobre o açúcar,
por cima do fundo antigo, de mascavo,
do mascavo barrento que se incuba;
e sabe que tudo pode romper o mínimo
em que o cristal é capaz de censura:
pois o tal fundo mascavo logo aflora
quer inverno ou verão mele o açúcar.
Só os banguês* que-ainda purgam ainda
o açúcar bruto com barro, de mistura;
a usina já não o purga: da infância,
não de depois de adulto, ela o educa;
em enfermarias, com vácuos e turbinas,
em mãos de metal de gente indústria,
a usina o leva a sublimar em cristal
o pardo do xarope: não o purga, cura.
Mas como a cana se cria ainda hoje,
em mãos de barro de gente agricultura,
o barrento da pré-infância logo aflora
quer inverno ou verão mele o açúcar.
João Cabral de Melo Neto, A Educação pela Pedra.
*banguê: engenho de açúcar primitivo movido a força animal.
Os últimos quatro versos do poema rompem com a série de contrapontos entre a usina e o banguê, pois
Provas
Os gráficos mostram a variação nas taxas de emigração, imigração, mortalidade e natalidade de uma dada população de mamíferos ao longo de 20 anos.

Com base nesses gráficos, o tamanho dessa população deve
Provas
Observe o mapa com dados de 2020:

Os países destacados em amarelo no mapa referem-se:
Provas
O gás carbônico atmosférico reage com a água do mar conforme detalhado em (l):
(I) !$ CO_2 + H_2 O \rightleftharpoons H_2 CO_3 \rightleftharpoons HCO_3^- + H^+ !$
As condições ambientais causadas pelo aumento de gás carbônico na atmosfera influenciam em processos caracterizados pela reação (Il) durante o desenvolvimento de diversos organismos marinhos:
(II) !$ Ca^{2+} + CO_3^{2-}\rightleftharpoons CaCO_3 !$
Note e adote:
Considere o bicarbonato solúvel e o carbonato de cálcio insolúvel.
Tendo por base essas afirmações, assinale a alternativa correta:
Provas
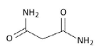
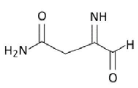
A reação de Maillard, que ocorre entre aminoácidos e carboidratos redutores, é a responsável por formar espécies que geram compostos coloridos que conferem o sabor característico de diversos alimentos assados. Um exemplo é a reação entre a glicina e um carboidrato redutor mostrada na equação em que R representa uma cadeia genérica:

Um aminoácido específico (Composto 1), ao reagir com o carboidrato redutor, pode gerar o Composto 2, levando à formação de acrilamida, uma espécie potencialmente carcinogênica, conforme mostrado na equação:

A estrutura do aminoácido marcado como Composto 1 e que é capaz de gerar esse intermediário de espécies carcinogênicas é:
Provas
Na transição do Cerrado para a Mata Atlântica, ocorre uma substituição da vegetação, que resulta em mudanças na frequência de certas características das plantas. Identifique duas mudanças decorrentes dessa transição.
Provas
TEXTO PARA A QUESTÃO
Uma última gargalhada estrondosa. E depois, o silêncio. O palhaço jazia imóvel no chão. Mas seu rosto continua sorrindo, para sempre. Porque a carreira original do Coringa era para durar apenas 30 páginas. O tempo de envenenar Gotham, sequestrar Robin, enfiar um par de sopapos no Homem-Morcego e disparar o primeiro “vou te matar” da sua relação. Na briga final do Batman nº 1, o “horripilante bufão” sofria um final digno de sua desumana ironia: ao tropeçar, cravava sua própria adaga no peito. Assim decidiram e desenharam seus pais, os artistas Bill Finger, Bob Kane e Jerry Robinson. Entretanto, o criminoso mostrou, já em sua primeira aventura, um enorme talento para se rebelar contra a ordem estabelecida. Seu carisma seduziu a editora DC Comics, que impôs o acréscimo de um quadrinho. Já dentro da ambulância, vinha à tona “um dado desconcertante”. E então um médico sentenciava: “Continua vivo. E vai sobreviver!”.
Tommaso Koch. “O Coringa completa 80 anos e na Espanha
ganha duas HQs, que inspiram debates filosóficos sobre a liberdade”. El País. Junho/2020.
No fragmento “ao tropeçar, cravava sua própria adaga no peito.”, a oração em negrito abrange, simultaneamente, as noções de
Provas
Um comerciante adotou como forma de pagamento uma máquina de cartões, cuja operadora cobra uma taxa de 6% em cada venda. Para continuar recebendo exatamente o mesmo valor por cada produto, ele resolveu aplicar um reajuste nos preços de todos os produtos da loja. Se P era o valor de uma mercadoria antes da adoção da máquina, o novo valor V deve ser calculado por
Provas
Um marceneiro possui um pedaço de madeira no formato de um triângulo retângulo, cujos catetos medem 12 cm e 35 cm. A partir desta peça, ele precisa extrair o maior quadrado possível, de tal forma que um dos ângulos retos do quadrado coincida com o ângulo reto do triângulo. A medida do lado do quadrado desejado pelo marceneiro está mais próxima de
Provas
Uma esfera metálica de massa m e carga elétrica +q descansa sobre um piso horizontal isolante, em uma região em que há um campo elétrico uniforme e também horizontal, de intensidade E, conforme mostrado na figura. Em certo instante, com auxílio de uma barra isolante, a esfera é erguida ao longo de uma linha vertical, com velocidade constante e contra a ação da gravidade, a uma altura total h, sem nunca abandonar a região de campo elétrico uniforme.

Ao longo do movimento descrito, os trabalhos realizados pela força gravitacional e pela força elétrica sobre a esfera são, respectivamente:
Provas
Caderno Container