Foram encontradas 134 questões.
(URCA/2019.1) Assinale a alternativa que corresponde ao tipo de relação ecológica interespecífica em que ambas as espécies que interagem obtêm benefícios.
Provas
Questão presente nas seguintes provas
Quem me dera que eu fosse os choupos à margem do rio
E tivesse só o céu por cima e a água por baixo...
Quem me dera que eu fosse o burro do moleiro
E que ele me batesse e me estimasse...
Antes isso que ser o que atravessa a vida
Olhando para trás de si e tendo pena...
(URCA/2019.1) O fragmento acima é parte da Obra do heterônimo de Fernando Pessoa, Alberto Caeiro. São características de Caeiro e que estão presentes no texto, exceto:
Provas
Questão presente nas seguintes provas
LA UNIDAD DEL ESPAÑOL
En su intervención Villanueva ha descrito los momentos más transcendentales de la historia del español: «El primero es, obviamente, el fundacional, la constitución del romance castellano y su expansión por la Península ocupada por los árabes. El segundo comienza en 1492, el año de la Gramática de Nebrija, con la llegada de Colón a América. Y el tercero es el que hace del español una lengua ecuménica, la segunda por el número de hablantes nativos en todo el mundo: con este tercer momento me refiero al proceso de la independencia y constitución de las Repúblicas americanas a partir de finales del segundo decenio del siglo XIX».
El director de la RAE ha subrayado que «en la unidad de nuestra lengua universal, bien perceptible hoy gracias a la fluida comunicación que la movilidad de las personas y la transmisión a través de los medios de nuestras respectivas hablas facilita, tuvo mucho que ver, en este trascendental siglo XIX, la labor académica».
Darío Villanueva explicó que en 1871 se creó la Academia Colombiana de la Lengua, «la decana, detrás de la RAE, de las hoy existentes. La penúltima, cronológicamente hablando, sería precisamente la ANLE, constituida en 1973. La última establecida hasta el momento, ya en pleno siglo XXI, ha sido la del único país de África que tiene el español como lengua oficial: La Academia Ecuatoguineana. Sería de desear que esa nómina se cerrase con una vigesimocuarta Academia, que no sería otra que la del judeoespañol, la lengua que los judíos sefardíes, expulsados de España en 1492, mantuvieron viva hasta hoy en sus comunidades extendidas por gran parte de Europa, por el Imperio Otomano y algunos enclaves del Nuevo Mundo».
Texto extraído de www.rae.es
(URCA/2019.1) O texto apresenta e discute sobre algumas questões relevantes do idioma espanhol no decorrer da história, como, por exemplo:
Provas
Questão presente nas seguintes provas
(URCA/2019.1) Considere um triângulo retângulo ABC de hipotenusa !$ \overline{BC} = 10 !$ e cateto !$ \overline{AB} = 8 !$. Sobre BC marcamos um ponto D tal que !$ \overline{BD} = 7 !$. Nessas condições pede-se !$ { \large 5 \over 13} !$ !$ \overline{AD}^2 !$
Provas
Questão presente nas seguintes provas
(URCA/2019.1) O chá de Camomila pode ser preparado somente com esta planta medicinal ou numa combinação de plantas, como erva-doce e hortelã. O nome cientifico da camomila é Matricaria recutita, também conhecida vulgarmente como Margaça, Camomila-vulgar, Camomila-comum, Macela-nobre, Macela-galega ou simplesmente camomila.
Ajudar na má digestão, acalmar e reduzir a ansiedade são alguns dos benefícios do chá de Camomila, que pode ser preparado usando as flores secas da planta ou os sachês que se compra no supermercado.
Quando se prepara chá, despeja-se água fervendo na xícara e acrescenta-se um saquinho que contém a erva. Deixa-se em infusão por cinco minutos, retira-se o saquinho e adoça-se com açúcar a gosto. Os processos de infusão e adição de açúcar sólido, são chamados, respectivamente de:
Disponível em: <https://www.portaltvcariri.com.br/veja-os-beneficios-do-cha-de-camomila/>, acesso 25/11/2018 (adaptado)
Provas
Questão presente nas seguintes provas
(URCA/2019.1) Alunos do curso de licenciatura em química da URCA em uma apresentação do show de química deveriam apresentar uma situação que parecesse mágica, usando reagentes químicos, Bruno e Alexandre ( nomes fictícios) resolveram usar duas soluções límpidas que, ao serem misturadas, gerassem um ppt amarelo cuja massa deveria ser calculada posteriormente. As soluções disponíveis eram:
I) 100 mL NaOH C = 0,5 mol / L.
II) 100 mL KI C = 1 mol / L.
III) 100 mL !$ Pb(NO_3)_2 !$ C = 1 mol / L.
IV) 100 mL !$ HNO_3 !$ C = 0,5 mol / L.
V) 100 mL !$ HNO_3 !$ C = 1,5 mol / L.
As soluções escolhidas e a massa do precipitado formado foram
Provas
Questão presente nas seguintes provas
(URCA/2019.1) O exercício físico como caminhadas, corridas são muito recomendados pelos médicos para uma vida mais saudável. Examinando um pouco de física por trás deste esporte os autores de livros didáticos de física, Antônio Máximo e Beatriz Alvarenga, formularam o seguinte problema: observe o gráfico abaixo que mostra informações sobre o movimento de dois atletas (atleta A e atleta B). No tempo !$ t = 0 !$ os atletas encontram-se um ao lado do outro, na mesma posição da pista de corrida.
Escolha a alternativa que não representa corretamente o movimento.
Provas
Questão presente nas seguintes provas
(URCA/2019.1) Observe o poema a seguir e marque a opção correta:
“Portugal colonial”
Nada te devo
nem o sítio
onde nasci
Nada te devo
nem o sítio
onde nasci
nem a morte
que depois comi
nem a vida
que depois comi
nem a vida
repartida
p'los cães
nem a notícia
p'los cães
nem a notícia
curta
a dizer-te
que morri
a dizer-te
que morri
nada te devo
Portugal
Colonial
Portugal
Colonial
cicatriz
doutra pele
apertada
doutra pele
apertada
(David Mestre, poeta angolano. In: DÁSKALOS, M. A.; APA, L.; BARBEITOS, A. Poesia africana de língua portuguesa: antologia. Rio de Janeiro: Lacerda Editores, 2003, p. 104.)
Provas
Questão presente nas seguintes provas
Venenos de Deus, remédios do diabo: as incuráveis vidas de Vila Cacimba
– Noutro dia, você zangou-se comigo porque eu não o chamava pelo seu nome inteiro. Mas eu conheço o seu segredo.
– Não tenho segredos. Quem tem segredos são as mulheres.
– O seu nome é Tsotsi. Bartolomeu Tsotsi.
– Quem lhe contou isso? De certeza que foi o cabrão do Administrador.
Acabrunhado, Bartolomeu aceitou. Primeiro, foram os outros que lhe mudaram o nome, no baptismo. Depois, quando pôde voltar a ser ele mesmo, já tinha aprendido a ter vergonha de seu nome original. Ele se colonizara a si mesmo. E Tsotsi dera origem a Sozinho [Bartolomeu Sozinho].
– Eu sonhava ser mecânico, para consertar o mundo. Mas aqui para nós que ninguém nos ouve: um mecânico pode chamar-se Tsotsi?
– Ini nkabe dziua.
– Ah, o Doutor já anda a aprender a língua deles?
– Deles? Afinal, já não é a sua língua?
– Não sei, eu já nem sei...
O português confessa sentir inveja de não ter duas línguas. E poder usar uma delas para perder o passado. E outra para ludibriar o presente.
– A propósito de língua, sabe uma coisa, Doutor Sidonho? Eu já me estou a desmulatar.
E exibe a língua, olhos cerrados, boca escancarada. O médico franze o sobrolho, confrangido: a mucosa está coberta de fungos, formando uma placa esbranquiçada.
– Quais fungos? – reage Bartolomeu. – Eu estou é a ficar branco de língua, deve ser porque só falo português...
O riso degenera em tosse e o português se afasta, cauteloso, daquele foco contaminoso. [...]
O médico olha para o parapeito e estremece de ver tão frágil, tão transitório aquele que é seu único amigo em Vila Cacimba. O aro da janela surge como uma moldura da derradeira fotografia desse teimoso mecânico reformado.
– Posso fazer-lhe uma pergunta íntima?
– Depende – responde o português.
– O senhor já alguma vez desmaiou, Doutor?
– Sim.
– Eu gostava muito de desmaiar. Não queria morrer sem desmaiar.
O desmaio é uma morte preguiçosa, um falecimento de duração temporária. O português, que era um guarda-fronteira da Vida, que facilitasse uma escapadela dessas, uma breve perda de sentidos.
– Me receite um remédio para eu desmaiar.
O português ri-se. Também a ele lhe apetecia uma intermitente ilucidez, uma pausa na obrigação de existir.
– Uma marretada na cabeça é a única coisa que me ocorre.
Riem-se. Rir junto é melhor que falar a mesma língua. Ou talvez o riso seja uma língua anterior que fomos perdendo à medida que o mundo foi deixando de ser nosso. [...]
(COUTO, Mia. Venenos de Deus, remédios do diabo: as incuráveis vidas de Vila Cacimba. São Paulo: Companhia das Letras, 2008, pp. 110-113)
(URCA/2019.1) “Identidade nacional representa um conjunto de sentimentos que fazem com que um indivíduo se sinta parte de uma sociedade ou nação. A língua é um importante elemento na constituição da identidade de um povo. Ela permite reconhecer membros da comunidade, diferenciar estrangeiros e transmitir tradições”. Das proposições a seguir, marque a que não aparece o sentimento de não pertencimento:
Provas
Questão presente nas seguintes provas
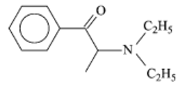
(URCA/2019.1) A dietilpropiona é uma substância usada como psicoestimulante. Essa substância afeta o sistema nervoso e deve ser ingerido apenas sob orientação médica. A estrutura da dietilpropiona está representada a seguir:

Nessa estrutura estão presentes as funções orgânicas
Provas
Questão presente nas seguintes provas
Cadernos
Caderno Container