Magna Concursos

Foram encontradas 60 questões.

3053615 Ano: 2017
Disciplina: Engenharia Química
Banca: IBGP
Orgão: UNIPAC
Provas:

Titulação ácido-base é muito importante no cotidiano dos laboratórios de química. Essa técnica é empregada em laboratórios de pesquisa e de indústrias para determinar a concentração de soluções por meio de reações químicas entre volumes conhecidos de uma solução problema com uma solução de concentração conhecida.

A figura a seguir mostra o aspecto da curva de titulação ácido-base.

Enunciado 3119947-1

Sobre o processo de titulação ácido-base, assinale a alternativa CORRETA.

 

Provas

Questão presente nas seguintes provas
3053614 Ano: 2017
Disciplina: Engenharia Química
Banca: IBGP
Orgão: UNIPAC
Provas:

Um estudante de medicina preparou uma solução misturando 19,6g de sulfato de cromo (III) em 1L de água.

Dados: Kc = 1,86ºC/molal

Ke = 0,52ºC/molal

Supondo o sal totalmente dissociado, assinale a alternativa que apresenta o aumento da temperatura de ebulição e o abaixamento da temperatura de congelamento, respectivamente.

 

Provas

Questão presente nas seguintes provas
3053613 Ano: 2017
Disciplina: Química
Banca: IBGP
Orgão: UNIPAC
Provas:

Um estudante fez quatro experimentos para determinar os potenciais-padrão de redução em soluções a 25ºC.

!$ \bullet !$ Um eletrodo de cromo foi mergulhado em uma solução de cloreto de níquel II e ocorreu uma reação de oxirredução.

!$ \bullet !$ Um eletrodo de titânio foi mergulhado em uma solução de cloreto de cromo II e ocorreu uma reação de oxirredução.

!$ \bullet !$ Um eletrodo de cádmio foi mergulhado em uma solução de cloreto de níquel II e ocorreu uma reação de oxirredução.

!$ \bullet !$ Um eletrodo de cromo foi mergulhado em uma solução de cloreto de cádmio II e ocorreu uma reação de oxirredução.

A partir das informações obtidas nos experimentos é CORRETO afirmar que ordem crescente da força redutora dos metais em questão é:

 

Provas

Questão presente nas seguintes provas
3053612 Ano: 2017
Disciplina: Química
Banca: IBGP
Orgão: UNIPAC
Provas:

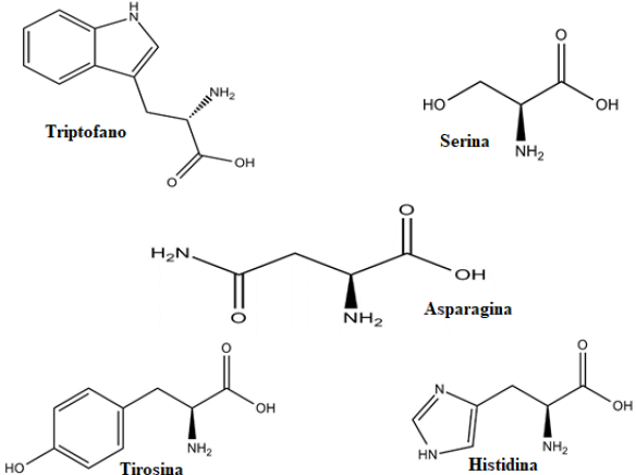
As proteínas são produzidas pelos organismos vivos por meio da junção de unidades bem menores, denominadas aminoácidos. Constituem um grupo muito importante de substâncias orgânicas presentes em todos os seres vivos.

Existem 20 aminoácidos comumente encontrados em proteínas. Cinco deles são: triptofano, serina, asparagina, tirosina e histidina, conforme fórmulas a seguir:

Enunciado 3119949-1

Sobre esses aminoácidos, analise as afirmativas:

I. A cadeia lateral do triptofano é polar de caráter básico.

II. A cadeia lateral da tirosina é polar de caráter ácido.

III. A cadeia lateral da serina é polar de caráter neutro.

IV. A cadeia lateral da asparagina é apolar de caráter básico.

V. A cadeia lateral da histidina é polar de caráter básico.

Estão CORRETAS as afirmativas:

 

Provas

Questão presente nas seguintes provas
3053611 Ano: 2017
Disciplina: Química
Banca: IBGP
Orgão: UNIPAC
Provas:

A borracha dos pneus contém substâncias que podem ser atacadas pelo ozônio, poluente atmosférico.

Para evitar essa oxidação indesejada, os fabricantes incluem na formulação substâncias antioxidantes.

Assinale a alternativa que apresenta CORRETAMENTE os produtos orgânicos da reação de ozonólise, em meio aquoso e na presença de pó de zinco, do metil-but-2-eno.

 

Provas

Questão presente nas seguintes provas
3053610 Ano: 2017
Disciplina: Química
Banca: IBGP
Orgão: UNIPAC
Provas:

Para padronização de soluções em um laboratório de controle de qualidade de medicamentos é necessário preparar uma solução de 500mL de ácido perclórico 0,01mol/L.

No estoque do laboratório, há apenas um frasco com seguinte rótulo:

SOLUÇÃO AQUOSA DE ÁCIDO PERCLÓRICO

10,05%m/m

Densidade: 1,6g/cm3

Assinale a alternativa que indica CORRETAMENTE o volume necessário, em mililitros, do ácido presente no frasco do estoque, para que o preparo da solução de padronização seja realizado.

 

Provas

Questão presente nas seguintes provas
3053609 Ano: 2017
Disciplina: Química
Banca: IBGP
Orgão: UNIPAC
Provas:

Medicamentos tamponados minimizam efeitos colaterais por incorporar à fórmula uma mistura de substâncias que, ao se dissolverem no estômago, formam uma solução-tampão, diminuindo um pouco a acidez do suco gástrico.

Supondo que uma solução-tampão contém 0,01mol/L de CH3COOH e 0,01mol/L de CH3COONa e que a constante de ionização do ácido acético (Ka) vale 2,0.10-5, assinale a alternativa que apresenta o pH dessa solução.

Dado: log 2 = 0,3

 

Provas

Questão presente nas seguintes provas
3053608 Ano: 2017
Disciplina: Química
Banca: IBGP
Orgão: UNIPAC
Provas:

Em um laboratório de química havia dois frascos, contendo líquidos incolores, que perderam os rótulos.

Sabe-se que um dos frascos contém uma solução aquosa de brometo de potássio e o outro contém uma solução aquosa de brometo de bário.

Assinale a alternativa que apresenta o reagente efetivo para que o técnico de laboratório descubra as soluções que estão em cada frasco.

 

Provas

Questão presente nas seguintes provas
3053607 Ano: 2017
Disciplina: História
Banca: IBGP
Orgão: UNIPAC
Provas:

Em 31 de outubro de 1517, ele pregou, à porta da igreja do castelo em Wittenberg, suas 95 teses condenando a prática corrupta de indulgências feita pela Igreja Católica Romana. Esse ato marcou um movimento que ficou conhecido como Reforma Protestante. Em 31 de outubro de 2017, na Alemanha, foram comemorados os 500 anos do que é considerado o maior movimento da renovação da Igreja Cristã.

Assinale a alternativa que apresenta o nome do monge a que o texto se refere:

 

Provas

Questão presente nas seguintes provas
3053606 Ano: 2017
Disciplina: História
Banca: IBGP
Orgão: UNIPAC
Provas:

Durante o período escolar questionamos, muitas vezes, a utilidade das disciplinas estudadas.

“Matemática, apesar de chata, é útil, pois nos ensina cálculos que são imprescindíveis para a vida cotidiana. Ajuda-nos a fazer compras, por exemplo”.

Na tira abaixo, o personagem faz alusão à falta de importância e à perda de tempo de se estudar história.

Enunciado 3119978-1

Disponível em: <https://descafeinadoblog.blogspot.com.br/2012/09/tirinhas-da-semana-97.html>. Acesso: 03 nov. 2017.

São características que demonstram o pragmatismo do estudo da História, EXCETO:

 

Provas

Questão presente nas seguintes provas