Foram encontradas 40 questões.
O futuro da região oeste do Paraná tem
sido alvo de pesquisas e discussões nos
últimos anos, resultando em diálogos
interinstitucionais e elaboração de relatórios e
diagnósticos socioeconômicos e ambientais,
para subsidiar a composição de objetivos e
metas de desenvolvimento sustentável na
região. Entre os mais importantes, está o
Projeto Oeste 2030, que mobilizou os 54
municípios do oeste do Paraná com o objetivo
de promover desenvolvimento sustentável
baseados numa tríade de conceitos-chave.
Qual das opções abaixo se refere a essa
tríade? Assinale a alternativa correta:
Provas
Questão presente nas seguintes provas
Um SGQ (Sistema de Gestão de
Qualidade), é implantado para melhorar
continuamente o desempenho de sua
organização e visa a atender de forma a
satisfazer seus clientes, buscando sempre que possível superar as expectativas. Marque
a alternativa correta, nos 7 princípios de
gestão de qualidade:
Provas
Questão presente nas seguintes provas
- Química InorgânicaSoluções e Substâncias InorgânicasSubstâncias Inorgânicas: dissociação iônica e ionização, conceitos de ácido-base
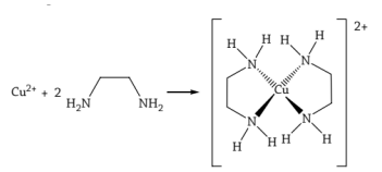
Em alguns complexos de classificação
estrutural dos ligantes, um determinado
ligante ocupa mais do que uma das posições
de coordenação, isto é, mais de um átomo de
um mesmo ligante. No exemplo abaixo o íon
cobre (II) está circundado por quatro grupos
-
NH
2
, assim cada molécula de etilenodiamina
que está ligada ao íon cobre (II) em dois
pontos, podemos chamar de:
Fonte: https://www2.ufjf.br/quimicaead/wp - content/uploads/sites/224/2013/09/QI_Aula4
Fonte: https://www2.ufjf.br/quimicaead/wp - content/uploads/sites/224/2013/09/QI_Aula4
Provas
Questão presente nas seguintes provas
As técnicas espectroscópicas atômicas e
moleculares se dividam porque a primeira
observa o efeito da absorção da radiação por
um determinado átomo e a segunda observa o
efeito da absorção da radiação por uma
determinada molécula ou grupamento
químico. As principais técnicas e seus usos
são:
Provas
Questão presente nas seguintes provas
Os resíduos que não forem classificados
como perigoso podem ser classificados como
resíduos comuns. Sobre alguns compostos
que podem ser descartados no lixo, informe
se é verdadeiro (V) ou falso (F) e assinale a
alternativa correta:
( ) Orgânicos: açucares, amido, aminoácidos, sais de ocorrência natural, ácido cítrico e seus sais, ácido lático e seus sais.
( ) Não devem ser descartados: compostos inflamáveis em água, polímeros que se solubilizam em água formando gel, boratos, formol.
( ) Inorgânicos: sulfatos carbonatos, óxidos e cloretos.
( ) Orgânicos: açucares, amido, aminoácidos, sais de ocorrência natural, ácido cítrico e seus sais, ácido lático e seus sais.
( ) Não devem ser descartados: compostos inflamáveis em água, polímeros que se solubilizam em água formando gel, boratos, formol.
( ) Inorgânicos: sulfatos carbonatos, óxidos e cloretos.
Provas
Questão presente nas seguintes provas
No dia a dia a velocidade é definida como
a mudança do valor de uma propriedade
dividida pelo tempo que ela leva para ocorrer,
e podemos citar como exemplo a velocidade
de um automóvel, isto é, a velocidade da
mudança de posição, entre outros.
A seguir, julgue as assertivas abaixo:
I. A velocidade média de uma reação é a variação da concentração de uma espécie dividida pelo tempo que leva para que a mudança ocorra.
PORQUE
II. Na velocidade média única, dizem que é a velocidade média dividida pelos coeficientes estequiométricos das espécies monitoradas. Estas técnicas espectroscópicas são muito usadas para estudar as velocidades de reação, em especial nas reações rápidas.
É correto o que se afirma em:
A seguir, julgue as assertivas abaixo:
I. A velocidade média de uma reação é a variação da concentração de uma espécie dividida pelo tempo que leva para que a mudança ocorra.
PORQUE
II. Na velocidade média única, dizem que é a velocidade média dividida pelos coeficientes estequiométricos das espécies monitoradas. Estas técnicas espectroscópicas são muito usadas para estudar as velocidades de reação, em especial nas reações rápidas.
É correto o que se afirma em:
Provas
Questão presente nas seguintes provas
O ácido perclórico e a água formam um
azeótropo com 72% (m/m), HClO
4
, com ponto
de ebulição de 203ºC. Diante das diversas
propriedades deste ácido, assinale a
alternativa correta:
Provas
Questão presente nas seguintes provas
Para Marshall Júnior a norma ISO 9000
tem o propósito de: resolver, adequar, reduzir,
orientar, contemplar e possibilitar a
implementação de múltiplos sistemas
gerenciais, principalmente para os sistemas
de gestão ambiental. A partir desses
propósitos foram aprovadas as seguintes
normas:
1 - NBR ISO 9000 = sistema de gestão qualidade. 2 - NBR ISO 9001 = sistema de gestão qualidade. 3 - NBR ISO 9004 = sistema de gestão qualidade.
( ) Requisitos.
( ) Diretrizes para melhoria de desempenho.
( ) Fundamentos.
Associe a 1ª coluna com a 2ª e assinale a alternativa correta:
1 - NBR ISO 9000 = sistema de gestão qualidade. 2 - NBR ISO 9001 = sistema de gestão qualidade. 3 - NBR ISO 9004 = sistema de gestão qualidade.
( ) Requisitos.
( ) Diretrizes para melhoria de desempenho.
( ) Fundamentos.
Associe a 1ª coluna com a 2ª e assinale a alternativa correta:
Provas
Questão presente nas seguintes provas
O equipamento que permite a análise
qualitativa de elementos metálicos em
soluções líquidas, gasosas e sólidas e que os
seus componentes básicos incluem fonte de
radiação, sistema de atomização, conjunto
mono cromados, detector e processador e
chamado de:
Provas
Questão presente nas seguintes provas
A presença do
, não
altera o equilíbrio da reação, no entanto faz
com que a velocidade
. A
formação de
é um processo
e portanto, é favorecido
para
temperaturas.
Diante do texto exposto, na sequência, assinale a alternativa que preencha as lacunas corretamente.
Diante do texto exposto, na sequência, assinale a alternativa que preencha as lacunas corretamente.
Provas
Questão presente nas seguintes provas
Cadernos
Caderno Container