Magna Concursos

Foram encontradas 90 questões.

1708719 Ano: 2010
Disciplina: Química
Banca: VUNESP
Orgão: UNESP
Provas:

A questão toma por base o texto.

Descarga de hormônios

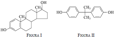
Algumas substâncias químicas são capazes de interagir com os receptores de estrógeno (Figura I) e comprometer o sucesso reprodutivo de várias espécies animais. “Disfarçadas” de hormônio, elas produzem uma mensagem enganosa que pode fazer a célula se multiplicar, morrer ou até produzir certas proteínas na hora errada.

Uma das substâncias apontadas pelos cientistas como capaz de mimetizar os efeitos dos hormônios é o bisfenol A (Figura II), usado em produtos de plástico policarbonato, tais como embalagens reutilizáveis de bebidas, mamadeiras, utensílios e muitos outros produtos de uso diário. Com o tempo, ele se desprende dos materiais e contamina o ambiente doméstico, atingindo o esgoto e os cursos d’água.

enunciado 2575739-1

(Unespciência. N.º 6, março de 2010. Adaptado.)

Buscando diferenças e semelhanças entre as estruturas estrógeno e bisfenol A, é correto afirmar que ambos

 

Provas

Questão presente nas seguintes provas
1707807 Ano: 2010
Disciplina: Engenharia Química
Banca: VUNESP
Orgão: UNESP
Provas:
Leia o texto para a questão.
Alquimia subterrânea transforma mina de carvão em mina de hidrogênio
Em uma área de mineração de carvão localizada no sul da Polônia, um grupo de cientistas está usando uma mina de carvão para avaliar experimentalmente um método alternativo para a produção de energia limpa e, assim, oferecer uma utilização para pequenos depósitos de carvão ou minas exauridas, que são tradicionalmente deixados de lado, representando passivos ambientais.
Na teoria e no laboratório, a injeção de oxigênio e de vapor no carvão resulta na produção de hidrogênio. No processo, oxigênio líquido é colocado em um reservatório especial, localizado nas galerias da mina de carvão, onde se transforma em oxigênio gasoso, começando o processo denominado de gaseificação de carvão.
(www.inovacaotecnologica.com.br. Adaptado.)
A passagem do oxigênio líquido para oxigênio gasoso é uma transformação física
 

Provas

Questão presente nas seguintes provas
1707772 Ano: 2010
Disciplina: Português
Banca: VUNESP
Orgão: UNESP
Provas:
A questão toma por base um fragmento do livro Comunicação e folclore, de Luiz Beltrão (1918-1986).
O Bumba-Meu-Boi
Entre os autos populares conhecidos e praticados no Brasil – pastoril, fandango, chegança, reisado, congada, etc. – aquele em que melhor o povo exprime a sua crítica, aquele que tem maior conteúdo jornalístico, é, realmente, o bumba-meu-boi, ou simplesmente boi.
Para Renato Almeida, é o “bailado mais notável do Brasil, o folguedo brasileiro de maior significação estética e social”. Luís da Câmara Cascudo, por seu turno, observou a sua superioridade porque “enquanto os outros autos cristalizaram, imóveis, no elenco de outrora, o bumba-meu-boi é sempre atual, incluindo soluções modernas, figuras de agora, vocabulário, sensação, percepção contemporânea. Na época da escravidão mostrava os vaqueiros escravos vencendo pela inteligência, astúcia e cinismo. Chibateava a cupidez, a materialidade, o sensualismo de doutores, padres, delegados, fazendo-os cantar versinhos que eram confissões estertóricas. O capitão-do-mato, preador de escravos, assombro dos moleques, faz-sono dos negrinhos, vai ‘caçar’ os negros que fugiram, depois da morte do Boi, e em vez de trazê-los é trazido amarrado, humilhado, tremendo de medo. O valentão mestiço, capoeira, apanha pancada e é mais mofino que todos os mofinos. Imaginem a alegria negra, vendo e ouvindo essa sublimação aberta, franca, na porta da casa-grande de engenho ou no terreiro da fazenda, nos pátios das vilas, diante do adro da igreja! A figura dos padres, os padres do interior, vinha arrastada com a violência de um ajuste de contas. O doutor, o curioso, metido a entender de tudo, o delegado autoritário, valente com a patrulha e covarde sem ela, toda a galeria perpassa, expondo suas mazelas, vícios, manias, cacoetes, olhada por uma assistência onde estavam muitas vítimas dos personagens reais, ali subalternizados pela virulência do desabafo”.
Como algumas outras manifestações folclóricas, o bumba-meu- boi utiliza uma forma antiga, tradicional; entretanto, fá-la revestir-se de novos aspectos, atualiza o entrecho, recompõe a trama. Daí “o interesse do tipo solidário que desperta nas camadas populares”, como o assinala Édison Carneiro. Interesse que só pode manter-se porque o que no auto se apresenta não reflete apenas situações do passado, “mas porque têm importância para o futuro”. Com efeito, tendo por tema central a morte e a ressurreição do boi, “cerca-se de episódios acessórios, não essenciais, muito desligados da ação principal, que variam de região para região... em cada lugar, novos personagens são enxertados, aparentemente sem outro objetivo senão o de prolongar e variar a brincadeira”. Contudo, dentre esses personagens, os que representam as classes superiores são caricaturados, cobrindo-se de ridículo, o que torna “o folguedo, em si mesmo, uma reivindicação”.
Sílvio Romero recolheu os versos de um bumba-meu-boi, através dos quais se constata a intenção caricaturesca nos personagens do folguedo. Como o Padre, que recita:
Não sou padre, não sou nada
“Quem me ver estar dançando
Não julgue que estou louco;
Secular sou como os outros”.
Ou como o Capitão-do-Mato que, dando com o negro Fidélis, vai prendê-lo:
“CAPITÃO – Eu te atiro, negro
Eu te amarro, ladrão,
Eu te acabo, cão.”
Mas, ao contrário, quem vai sobre o Capitão e o amarra é o Fidélis:
“CORO – Capitão de campo
Veja que o mundo virou
Foi ao mato pegar negro
Mas o negro lhe amarrou.
CAPITÃO – Sou valente afamado
Como eu não pode haver;
Qualquer susto que me fazem
Logo me ponho a correr”.
(Luiz Beltrão. Comunicação e folclore. São Paulo: Edições Melhoramentos, 1971.)
Aponte a alternativa que indica, entre os quatro termos relacionados a seguir, apenas os que, no fragmento apresentado, são empregados pelos folcloristas para referir-se ao bumba-meu- boi.
I. Bailado.
II. Ritual.
III. Brincadeira.
IV. Folguedo.
 

Provas

Questão presente nas seguintes provas
1707663 Ano: 2010
Disciplina: História
Banca: VUNESP
Orgão: UNESP
Provas:
Os operários das fábricas e das usinas, assim como as tropas rebeldes, devem escolher sem demora seus representantes ao governo revolucionário provisório, que deve ser constituído sob a guarda do povo revolucionário amotinado e do exército.
(Manifesto de 27 de fevereiro de 1917, in Marc Ferro. A Revolução Russa de 1917, 1974.)
O manifesto, lançado em meio às tensões de 1917 na Rússia, revela a posição dos
 

Provas

Questão presente nas seguintes provas
1707415 Ano: 2010
Disciplina: Física
Banca: VUNESP
Orgão: UNESP
Provas:
Considere um raio de luz monocromático de comprimento de onda !$ λ !$, que incide com ângulo !$ θ_i !$ em uma das faces de um prisma de vidro que está imerso no ar, atravessando-o como indica a figura.
enunciado 2569921-1
Sabendo que o índice de refração do vidro em relação ao ar diminui com o aumento do comprimento de onda do raio de luz que atravessa o prisma, assinale a alternativa que melhor representa a trajetória de outro raio de luz de comprimento 1,5 !$ λ !$, que incide sobre esse mesmo prisma de vidro.
 

Provas

Questão presente nas seguintes provas
1704510 Ano: 2010
Disciplina: Inglês (Língua Inglesa)
Banca: VUNESP
Orgão: UNESP
Provas:
Leia o texto a seguir para responder a questão.
Two of the greatest obstacles that comics have in reaching readers are exposure and cost. Fortunately, the internet has provided remedies for both. Many comic book creators and publishers have put their comics online, available as full issues and at absolutely no cost to the reader. And unlike torrents or scanned files, these comics are completely legal. Here I have endeavored to collect as many of these as possible, now totalling over 300 full issues and stories, in one place.
Whether you have been meaning to try a new title, or if you’ve never read a comic in your life, there’s still something here for everyone. Follow a link or two or three. Some comics that I especially recommend carry an asterisk, but I haven’t come close to reading everything here. Maybe you’ll find something you enjoy.
( _ _ _ _ _ _ _ _ _ _ _ _ _ _ _ _ _ _ _ _ _ _ _ _ _ _ _ _ _ _ _ )
(www.lorencollins.net/freecomic. Adaptado.)
De acordo com o texto, dois obstáculos ao acesso dos leitores às histórias em quadrinhos são
 

Provas

Questão presente nas seguintes provas
1704471 Ano: 2010
Disciplina: História
Banca: VUNESP
Orgão: UNESP
Provas:
A peça Fonte foi criada pelo francês Marcel Duchamp e apresentada em Nova Iorque em 1917.
enunciado 2563408-1
(Fonte – obra de Marcel Duchamp, fotografada por Alfred Stieglitz.)
A transformação de um urinol em obra de arte representou, entre outras coisas,
 

Provas

Questão presente nas seguintes provas
1703704 Ano: 2010
Disciplina: História
Banca: VUNESP
Orgão: UNESP
Provas:
Entre as formas de resistência negra à escravidão, durante o período colonial brasileiro, podemos citar
 

Provas

Questão presente nas seguintes provas
1683775 Ano: 2010
Disciplina: Português
Banca: VUNESP
Orgão: UNESP
Provas:
A questão toma por base duas passagens do livro A linguagem harmônica da Bossa Nova, do docente e pesquisador da Unesp José Estevam Gava.
Momento Bossa Nova
Nos anos 1940, o samba-canção já era uma alternativa para o samba tradicional, batucado, quadrado. Em sua gênese foram empregados recursos correntes na música erudita europeia e na música popular norte-americana. Já era algo mais sofisticado, praticado por compositores e arranjadores com maior preparo musical e sempre de ouvido aberto para as soluções propostas pela música estrangeira. O jazz, por exemplo, mais tarde permitiria fusões interessantes como o “samba-jazz” e o “samba moderno”, com arranjos grandiosos e com base nos instrumentos de sopro. Mas, em termos de poesia e expressividade, o samba-canção tendia a manter seu caráter escuro, sombrio, com muitos elementos que lembravam a atmosfera tensa e pessimista do tango argentino e do bolero, gêneros latinos por excelência.
O samba-canção esteve desde logo ambientado em Copacabana, lugar de vida noturna intensa, boates enfumaçadas, mulheres adultas e fatais envoltas num clima de pecado e traição, enquanto a Bossa Nova ambientou-se mais para o Sul, em Ipanema, além de tornar-se representativa de um público mais jovem, amante do sol e da praia. Nesse ambiente solar, a mulher passou a ser a garota da praia, a namorada. Deu-se um descanso às imagens de “amante proibida e vingativa, com uma navalha na liga. E as letras da Bossa Nova não tinham nada de enfumaçado. Eram uma saga oceânica: a nado, numa prancha ou num barquinho, seus compositores prestaram todas as homenagens possíveis ao mar e ao verão. Esse mar e esse verão eram os de Ipanema” (Castro, 1999, p. 59).
A Bossa Nova levou aos extremos a tendência intimista de cantar sobre temas do cotidiano, sem muita complicação poética. Em vez da negatividade do samba-canção, explorou ao máximo a positividade expressiva e um otimismo sem precedentes. Esse foi o grande traço distintivo entre a Bossa Nova e o samba-canção. O otimismo diante do amor trouxe consigo imagens de paz e estabilidade possibilitadas por relacionamentos amorosos felizes e amores correspondidos, sem as cores patológicas e dramáticas que tanto marcavam os sambas-canções. Mesmo a dor, quando ocorria, era encarada como um estágio passageiro, deixando de assumir o antigo caráter terminal.
Em plenos anos 1950, quando nas rádios predominava o derramamento vocal e sentimental, Tom Jobim já buscava um retraimento expressivo pautado por um discurso poético/musical mais sereno, mais em tom de conversa do que de súplica. Se os mais jovens identificavam-se com essas coisas novas, os mais velhos e tradicionalistas viam-nas com estranheza, sendo compreensível que as descrevessem como canções bobas e ingênuas, não obstante a sofisticação harmônica e rítmica.
(José Estevam Gava. A linguagem harmônica da Bossa Nova. São Paulo: Editora Unesp, 2002.)
... sendo compreensível que as descrevessem como canções bobas e ingênuas, não obstante a sofisticação harmônica e rítmica.
Nesta passagem, a sequência não obstante a poderia ser substituída, sem prejuízo do sentido, por
 

Provas

Questão presente nas seguintes provas
1682037 Ano: 2010
Disciplina: Inglês (Língua Inglesa)
Banca: VUNESP
Orgão: UNESP
Provas:
Leia o texto Status of same-sex marriage para responder a questão.
Status of same-sex marriage
South America
Argentina
The Autonomous City of Buenos Aires (a federal district and capital city of the republic) allows same-sex civil unions. The province of Rio Negro allows same-sex civil unions, too. Legislation to enact same-sex marriage across all of Argentina was approved on July 15, 2010.
Brazil
A law that would allow same-sex civil unions throughout the nation has been debated. Until the end of the first semester of 2010 the Supremo Tribunal Federal had not decided about it.
Colombia
The Colombian Constitutional Court ruled in February 2007 that same-sex couples are entitled to the same inheritance rights as heterosexuals in common-law marriages. This ruling made Colombia the first South American nation to legally recognize gay couples. Furthermore, in January 2009, the Court ruled that same-sex couples must be extended all of the rights offered to cohabitating heterosexual couples.
Ecuador
The Ecuadorian new constitution has made Ecuador stand out in the region. Ecuador has become the first country in South America where same sex civil union couples are legally recognized as a family and share the same rights of married heterosexual couples.
Uruguay
Uruguay became the first country in South America to allow civil unions (for both opposite-sex and same-sexcouples) in a national platform on January 1, 2008. Children can be adopted by same-sex couples since 2009.
(http://en.wikipedia.org/. Adaptado.)
Com base nas informações do texto, o que podemos inferir a respeito da situação atual dos casais do mesmo sexo na Argentina?
 

Provas

Questão presente nas seguintes provas