Foram encontradas 129 questões.

Mapa dos biomas brasileiros elaborado pelo IBGE (foto: Instituto Brasileiro de Geografia e Estatística, 2004).
O Estado de Alagoas, apesar de toda a devastação que sofreu nos últimos séculos, tem seu território ocupando dois biomas bem diferentes. Considerando o mapa acima, assinale a alternativa que apresenta os referidos biomas.
Provas
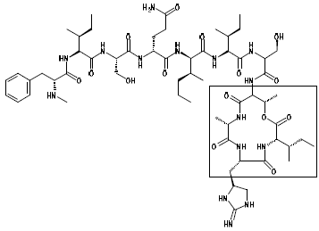
Um grupo de cientistas americanos descobriu uma molécula que representa a primeira nova classe de antibióticos introduzida desde 1987. Batizada de teixobactina, a nova substância apresenta uma estrutura complexa e é produzida por uma bactéria encontrada no solo. Baseado nos testes feitos com a substância em laboratório, estima-se que pode levar 30 anos até que as bactérias desenvolvam resistência à droga.
Folha de São Paulo. Disponível em: <http://www1.folha.uol.com.br/equilibrioesaude/2015/01/1572025-pela-1- vez-desde-87-grupo-descobre-nova-classe-de-antibioticos.shtml>. Acesso em: 10 dez. 2015 (adaptado).
A figura apresenta a estrutura da teixobactina.

Que funções orgânicas são apresentadas na parte selecionada da teixobactina?
Provas
Paratodos
O meu pai era paulista
Meu avô, pernambucano
O meu bisavô, mineiro
Meu tataravô, baiano
Meu maestro soberano
Foi Antônio Brasileiro
[...]
Disponível em: <http://letras.mus.br/chico-buarque/45158/>. Acesso em: 28 out. 2015.
O trecho da letra da música Paratodos, de Chico Buarque, retrata uma dimensão brasileira muito importante para compreender a
Provas
Numa fábrica de parafusos, 2 500 caixas, numeradas de 1 a 2 500, devem ser embaladas com parafusos através de uma máquina programada para colocar 5 parafusos em cada uma delas. Porém, a partir da caixa 1 273, por um problema em sua programação, a máquina passa a colocar 3 parafusos a mais em toda caixa que tem numeração múltiplo de 7. Quantos parafusos a mais a máquina encaixotou?
Provas

Disponível em: <http://leiaprimeiro.blogspot.com.br/2010/08/tirinhas-da-vez-28.html>. Acesso em: 27 out. 2015.
Considerando os critérios de coesão e coerência, dadas as afirmativas sobre a tirinha,
I. Mesmo sem a presença de palavras, a tirinha pode ser considerada um texto que apresenta tanto coesão quanto coerência.
II. A coesão textual se justifica porque as imagens estão todas relacionadas e seguem uma ordenação lógica.
III. A coerência, no contexto referente, é marcada pela temática abordada de modo claro e progressivo: o posicionamento do garoto para arremessar a bola, a trajetória da bola e a derrubada dos pinos.
verifica-se que está(ão) correta(s)
Provas

JOLY, F. A Cartografia. 8. ed., São Paulo: Papirus, 2005.
p. 73. Disponível em: <https://confins.revues.org/docannexe/image/3483/img-1-small580.jpg>. Acesso em: 02 nov. 2015.
Os recursos visuais referenciados na imagem têm forte impacto na orientação de um mapa devido a sua
Provas
Para realização de avaliação continuada, um professor de uma instituição de ensino superior distribui estrelas aos alunos de acordo com suas participações em sala de aula. A cada estrela recebida corresponde um abono na nota da prova, calculado em porcentagem de acordo com a tabela.
| Estrela |
Acréscimo percentual na nota da prova |
| Bronze | 3 |
| Prata | 6 |
| Ouro | 10 |
Se considerarmos que o regime acadêmico da instituição prevê notas com uma casa decimal, um aluno desse professor que tirou 6,5 na prova e obteve durante as aulas 2 estrelas de prata, 2 de bronze e 1 de ouro, teve sua nota acrescida de
Provas
Divisão euclidiana e o teorema fundamental da aritmética
A divisão euclidiana, ou divisão com resto, é uma das quatro operações que toda criança aprende na escola. Sua formulação precisa é: dados a, b !$ \in \mathbb {Z} !$, b ≠ 0, existem q, r !$ \in \mathbb {Z} !$, com 0 < r !$ \le !$ |b| e a = bq + r. Tais q e r estão unicamente determinados e são chamados o quociente e o resto da divisão de a por b, respectivamente.
Disponível em: <http://www.mat.puc-rio.br/~nicolau/papers/mersenne/node4.html>. Acesso em: 25 out. 2015 (adaptado).
Quais são, respectivamente, o resto e o quociente da divisão de -30 por -4?
Provas
[...]
Veja como esse mundo é injusto: se toda a riqueza da humanidade fosse dividida igualmente entre as 7,2 bilhões de pessoas, cada um de nós teria um patrimônio de US$ 33.472 (ou quase R$ 80 mil). Todos possuiriam o suficiente para viver com dignidade e, portanto, não haveria fome, criminalidade, migrações, mendigos, favelas, mortalidade infantil e, possivelmente, nem guerras. Viveríamos em um mundo de paz e prosperidade.
A grande luta política e ideológica que a humanidade deve travar, hoje em dia, é convencer os setores que conseguem sobreviver com dignidade a se unir aos que não conseguem, para combater esse 1% que detém uma quantidade de recursos que, se fosse melhor distribuído, faria do mundo um lugar muito melhor.
[...]
BETTO, Frei. Se a classe média acordasse. Disponível em: <http://www.correiocidadania.com.br/>. Acesso em: 13 out. 2015.
Em relação ao contexto em que o texto foi construído, é correto inferir que
Provas
Copos Plásticos Descartáveis
[...]
O copo plástico descartável é um produto muito consumido pela população devido à sua praticidade e ao seu baixo custo para o consumidor. É muito utilizado em escritórios, festas infantis e eventos diversos, tendo ainda a vantagem de ser um produto que não provoca acidentes, como os copos de vidro.
[...]
Disponível em: <http://www.inmetro.gov.br/consumidor/produtos/copos_plasticos.asp>. Acesso em: 25 out. 2015.

A superfície lateral de um copo descartável como o da figura tem a forma da superfície lateral de um
Provas
Caderno Container