Foram encontradas 150 questões.
A “língua” do pensamento
Por mais distintas que as línguas sejam, praticamente tudo o que pode ser dito em uma língua pode ser dito nas demais. Certas palavras não encontram equivalentes exatos em outros idiomas, as estruturas sintáticas são muito diferentes, mas o sentido geral das frases tende a permanecer o mesmo. Tanto que, salvo em traduções de poesia, em que a expressão é tão importante quanto o conteúdo, o que se traduz num texto é o seu sentido geral e não o significado termo a termo, a chamada tradução literal, que muitas vezes conduz a enunciados sem sentido.
Essa possibilidade quase irrestrita de tradução é possível porque o “sentido geral” a que estou me referindo é algo que transcende a língua.
Trata-se de uma representação mental que fazemos da realidade e prescinde de palavras. Mas tampouco se dá por imagens ou outros símbolos dotados de um significante material.
Tanto que cegos de nascença, surdos-mudos e indivíduos privados da linguagem por alguma patologia são perfeitamente capazes de pensar e compreender a realidade.
(BIZZOCCHI, Aldo. Língua. jan. 2012. p. 54)
Das as inferências seguintes, quanto ao texto,
I. Em decorrência da distinção existente entre as línguas, somente os textos poéticos podem ser entendidos de maneira universal.
II. As particularidades linguísticas podem causar entraves na comunicação com outros sistemas idiomáticos.
III. É discutível a ideia de que somente é possível pensar por meio de algum tipo de linguagem, já que o pensamento transcende a língua.
IV. A representação mental, que é puramente abstrata, vai além da palavra e pode estabelecer a comunicação, como ocorre em outros sistemas simbólicos (gestos, desenhos etc.).
verifica-se que
Provas
Questão presente nas seguintes provas
A new mobile phone text message service is joining the
battle against HIV/Aids in Kenya.
People will be able to text questions on the subject to a special number and receive a prompt answer for free.
Subscribers will also get daily tips on how to prevent the infection and to deal with the pandemic.
The non-governmental organisation, One World, is launching the service to coincide with the World Aids Day on Wednesday.
Kenya has declared HIV/Aids a national disaster, since more than two million out of a total population of 32.4 million are HIV positive.
A cumulative number of more than 1.5 million people had died due to Aids.
Fonte: http://www.bbc.co.uk
Qual das opções abaixo não é informada no texto?
Provas
Questão presente nas seguintes provas
Os fenômenos de dilatação estão presentes em várias situações de nosso cotidiano, como nas fendas entre trilhos de trem, nas construções e até nos líquidos. Dadas as seguintes afirmações relacionadas à dilatação térmica dos sólidos e líquidos,
I. Os coeficientes de dilatação volumétrica (Y), superficial (!$ \beta !$) e linear (!$ \alpha !$) estão relacionados por Y=3 e !$ \beta !$=2!$ \alpha !$.
II. A dilatação volumétrica é observada apenas nos líquidos.
III. A água apresenta um comportamento anômalo entre 0 ºC e 4 ºC.
IV. A dilatação total de um líquido é dada pela diferença entre a dilatação do recipiente que contém esse líquido e a chamada dilatação aparente.
V. Uma chapa de latão (!$ \alpha_{latão} !$ = 2x10-5 ºC-1) possui um furo circular de 10 cm2 de área. Sua temperatura é aumentada de 10 ºC para 60 ºC. Após o aquecimento o furo passa a ter área de 10,02 cm2.
Verifica-se que estão corretas as afirmações
Provas
Questão presente nas seguintes provas
O sulfato de alumínio é um sal muito usado como floculante no tratamento de água. Em uma solução 0,20 mol.L-1 de sulfato de alumínio que contém 1,0 mol de cátion Al+3, o volume em litros é
Dados: Al = 27; S = 32; O = 16
Provas
Questão presente nas seguintes provas
Em um debate sobre o futuro do setor de transporte de Maceió com transito intenso e complicado, foi apresentado um conjunto de propostas.
Entre as propostas reproduzidas abaixo, aquela que atende, ao mesmo tempo, às implicações sociais e ambientais presentes nesse setor é
Provas
Questão presente nas seguintes provas
Os sistemas de telecomunicações modernos utilizam luz para transmissão de informação por meio de fibras ópticas.
O funcionamento dessas fibras está baseado no princípio da reflexão interna total. Deseja-se transmitir informação por meio de um sistema de fibras ópticas, de índice de refração 1,5, da cidade de Maceió para a cidade de Delmiro Gouveia, localizada no sertão alagoano distante cerca de 300 km da capital do estado. Considere que a velocidade da luz no vácuo é 300.000.000 m/s. Qual é o tempo mínimo necessário para transmitir informação entre essas cidades?
Provas
Questão presente nas seguintes provas
Uma esfera metálica eletricamente neutra E, suspensa por um fio isolante, é disposta próxima a uma placa metálica eletricamente neutra P, presa a uma base isolante. Quando a placa metálica P é eletrizada devido ao contato com um bastão carregado positivamente V, observa-se que a esfera E é atraída pela placa P e, após o contato entre eles, é repelida por ela. As figuras (1) a (4) ilustram o experimento.

Podemos afirmar que na situação (4)
Provas
Questão presente nas seguintes provas
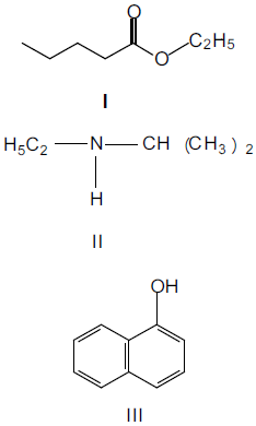
Considere os seguintes compostos orgânicos:

Quanto ao caráter ácido-base, podemos afirmar que os compostos I, II e III apresentam, respectivamente, caráter
Provas
Questão presente nas seguintes provas
Ao contrário de bactérias, uma célula eucariota desenvolveu diferentes compartimentos funcionalmente distintos envoltos por membranas. A profusão de membranas internas pode ser vista, em parte, como uma adaptação ao aumento do tamanho celular. A figura abaixo representa um esquema hipotético para a origem evolutiva de qual organela?

Provas
Questão presente nas seguintes provas
“Estreitando o horizonte das personagens e da sua interação nos limites de uma facutalidade que a ciência reduz às suas categorias, o romancista acaba recorrendo com alta frequência ao tipo e à situação típica: ambos, enquanto sínteses do normal e do inteligível, prestam-se docilmente a compor o romance que se deseja imune a tentações da fantasia”.
Pelas características descritas no trecho acima, Alfredo Bosi, em História concisa da Literatura Brasileira, refere-se aos romances
Provas
Questão presente nas seguintes provas
Cadernos
Caderno Container