Magna Concursos

Foram encontradas 670 questões.

1260774 Ano: 2014
Disciplina: Arquitetura
Banca: UFRJ
Orgão: UFRJ
Provas:
A interpretação correta do trecho assinalado na planta de forma a seguir é:
Enunciado 1260774-1
 

Provas

Questão presente nas seguintes provas
1260773 Ano: 2014
Disciplina: Arquitetura
Banca: UFRJ
Orgão: UFRJ
Provas:
Considere o terreno a seguir:
Enunciado 1260773-1
Na elaboração do Projeto de Arquitetura, o partido arquitetônico adotado exige que o terreno fique no mesmo nível da calçada. Para isso, será necessário realizar:
 

Provas

Questão presente nas seguintes provas
1260772 Ano: 2014
Disciplina: Gerência de Projetos
Banca: UFRJ
Orgão: UFRJ
Provas:
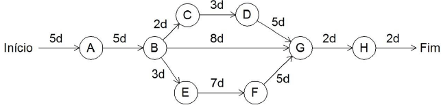
No Gerenciamento de Projetos, o uso de redes de interdependência é um recurso muito útil, principalmente porque permite identificar o caminho crítico do Projeto. Observe o gráfico a seguir, o qual dispõe as atividades de A a H e suas respectivas durações.
Enunciado 1260772-1
Seguindo o caminho crítico, pode-se saber que a atividade G estará concluída em:
 

Provas

Questão presente nas seguintes provas
No que diz respeito à sinalização tátil direcional, esta deve:
 

Provas

Questão presente nas seguintes provas
Quanto ao modelo social da deficiência, Romeu Kazumi Sassaki, em seu livro Inclusão – Construindo uma sociedade para todos, conceitua que “os problemas da pessoa com deficiência não estão nela tanto quanto na sociedade. Assim, a sociedade é chamada a ver que ela cria problemas para as pessoas com deficiência, causando-lhes incapacidade (ou desvantagem) no desempenho de papéis sociais”. Isso se dá em virtude de:
 

Provas

Questão presente nas seguintes provas
1260768 Ano: 2014
Disciplina: Desenho Técnico e Industrial
Banca: UFRJ
Orgão: UFRJ
Provas:
O comando do AutoCAD que permite esticar, encolher ou mover partes selecionadas de um grupo de objetos chama-se:
 

Provas

Questão presente nas seguintes provas
1260767 Ano: 2014
Disciplina: Arquitetura
Banca: UFRJ
Orgão: UFRJ
Provas:
A NBR 8160 (Sistemas prediais de esgoto sanitário – Projeto e execução) estabelece a distância máxima de um desconector à ligação de um tubo de ventilação que o serve. Considerando que a tubulação do desconector é de 100 mm, essa distância não deve exceder:
 

Provas

Questão presente nas seguintes provas
1260766 Ano: 2014
Disciplina: Arquitetura
Banca: UFRJ
Orgão: UFRJ
Provas:
O projeto de um auditório de 300 lugares requer um cuidado especial na escolha dos revestimentos. Para que esse espaço tenha uma boa acústica, é correto especificar para o teto:
 

Provas

Questão presente nas seguintes provas
Segundo a ABNT 9050, os textos contendo orientações, instruções de uso de áreas, objetos ou equipamentos, regulamentos e normas de conduta e utilização devem:
 

Provas

Questão presente nas seguintes provas
1260764 Ano: 2014
Disciplina: Arquitetura
Banca: UFRJ
Orgão: UFRJ
Provas:
Com relação ao Desenvolvimento Sustentável, o método da Avaliação do Ciclo de Vida (ACV) se refere:
 

Provas

Questão presente nas seguintes provas