Foram encontradas 910 questões.
Instrução: A questão refere-se aos dados a seguir.
A tabela apresenta 2500 empregados assalariados de uma Corporação, classificados por sexo e pela opinião quanto a uma proposta de se privilegiar a reivindicação de uma margem de benefícios em detrimento da reivindicação por aumento salarial em uma negociação de contrato.

Se um empregado escolhido aleatoriamente é do sexo masculino, a probabilidade de que o empregado seja contra a proposta é de
Provas
Questão presente nas seguintes provas
INSTRUÇÃO: O enunciado a seguir refere-se à questão.
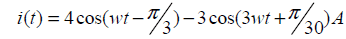
Uma carga apresenta uma corrente elétrica na forma
quando submetida a uma tensão v(t) = 20cos(wt)V .
quando submetida a uma tensão v(t) = 20cos(wt)V .
A potência média na carga equivale a
Provas
Questão presente nas seguintes provas
Sobre a dramaturgia radiofônica, assinale a alternativa INCORRETA.
Provas
Questão presente nas seguintes provas
O programa Seis Sigma NÃO tem por objetivos
Provas
Questão presente nas seguintes provas
Um corte transversal de uma raiz em estágio de crescimento primário revela uma nítida separação entre os três sistemas de tecido. Quais são eles?
Provas
Questão presente nas seguintes provas
O ciclo PDCA é um método gerencial utilizado para
Provas
Questão presente nas seguintes provas
Os livros constituem o principal material de ataque das brocas (Anobiideos). Para controlar seu ataque, existem vários métodos de expurgo. O método que utiliza gás carbônico apresenta vantagens quanto à facilidade de aplicação, pois não necessita instalações especiais nem pessoal treinado. Este método chama-se
Provas
Questão presente nas seguintes provas
A microscopia de contraste de fase é utilizada para observar
Provas
Questão presente nas seguintes provas
Assinale a alternativa que apresenta uma das diretrizes da Política Nacional de Atenção ao Idoso (Lei nº 8.842/94) e da Política Nacional de Saúde do Idoso (1999).
Provas
Questão presente nas seguintes provas
Na manipulação de uma amostra inorgânica, para fins de quantificação, assinale o procedimento INCORRETO.
Provas
Questão presente nas seguintes provas
Cadernos
Caderno Container