Foram encontradas 259 questões.
O conceito de estabilidade é extremamente importante para a teoria de sistemas de controle. O termo estabilidade é muito usado na linguagem comum, para descrever acontecimentos corriqueiros, sendo, em termos gerais, associado a fenômenos que variam pouco ou não variam. Considere os dois sistemas na figura a seguir: à esquerda, temos um pêndulo simples, e, à direita, um pêndulo invertido.

Ao analisar a estabilidade desses dois sistemas, pode-se afirmar:
Provas
Os modelos matemáticos que representam processos consideram, em algumas situações, comportamentos dinâmicos do processo e, em outros casos, apenas relações estáticas. A escolha do modelo de representação de um processo depende fortemente do tipo de fenômeno que se quer representar e da escala de tempo considerada. Em relação aos modelos matemáticos, analise as afirmações e julgue V, para as verdadeiras, ou F, para as falsas.
( ) Define-se como característica estática de um processo o conjunto de equações e intervalos das diferentes variáveis do processo que determinam seus pontos de operação.
( ) O ganho estático de um processo relaciona a variação estática que se obtém no canal de saída de um sistema quando a variação é produzida em um dos canais de entrada.
( ) O regime transitório é definido como o período no qual a variável de processo apresenta um comportamento aproximadamente constante.
( ) O regime permanente de uma variável de processo, que varia de um equilíbrio inicial yo para um segundo equilíbrio y1, retrata os momentos de tempo para os quais y ainda não chegou suficientemente perto de yf.
Qual alternativa preenche, CORRETAMENTE, os parênteses, na ordem em que aparecem?
Provas
Um fluido em um sistema de escoamento passa por tubos, válvulas, conexões, acessórios diversos e, também, podem ocorrer mudanças na área de escoamento. Haverá perda de carga em consequência do resultado do atrito com a parede, da alteração na direção do escoamento, obstruções na trajetória do fluido e mudanças abruptas ou graduais na área de escoamento. A respeito da perda de carga, assinale a alternativa CORRETA.
Provas
As operações de agitação e mistura são comuns a diversos tipos de indústrias, incluindo química, farmacêutica, petroquímicas, de alimentos, bebidas, etc. Com base no projeto de agitadores e misturadores, analise as assertivas a seguir:
|. O projeto de agitadores envolve quatro etapas: seleção do tipo de impulsor, cálculo das dimensões geométricas, cálculo da frequência rotacional do impulsor e cálculo da potência requerida para o agitador.
Il. Com relação às dimensões geométricas do agitador, tais como o diâmetro do tanque e do agitador, altura do agitador desde a base do tanque, altura do líquido e largura dos defletores, serão calculadas de acordo com as características do fluido, do tanque e do tipo de agitação necessária.
Ill. A seleção do tipo de impulsor determinará que tipo de fluido poderá ser utilizado no equipamento, devendo ser selecionado com base nas características do agitador.
IV. O cálculo da frequência do impulsor é dado em metros por segundo (m/s) e deve ser suficiente para alcançar o nível desejado de agitação e mistura. A frequência dependerá da estrutura do tanque, do agitador e da velocidade.
V. A potência requerida pelo agitador é influenciada por características do fluido, do tanque e do impelidor, sendo função da densidade, viscosidade, frequência rotacional do impulsor, diâmetro do agitador e do tanque, altura do agitador desde a base do tanque, altura do líquido, largura dos defletores e altura das pás.
Estão CORRETAS:
Provas
A análise gravimétrica é um método analítico em que são utilizadas somente medições de massa e informações sobre estequiometria de reação para determinar a quantidade de um analito em uma amostra. Em relação à análise gravimétrica, analise as afirmações a seguir e julgue V, para as verdadeiras, ou F, para as falsas.
( ) A análise gravimétrica tradicional é baseada na medição de massa de um sólido que se forma com a precipitação de um analito de uma solução.
( ) A análise termogravimétrica é baseada na medição do ganho de massa devido à coleta de uma substância química de uma amostra.
( ) A análise de combustão é baseada na medição da variação na massa de uma amostra de acordo com a variação de temperatura.
( ) Um requisito inerente da análise gravimétrica é que a amostra a ser examinada deve conter analito suficiente para fornecer uma massa mensurável.
Qual alternativa preenche, CORRETAMENTE, os parênteses, na ordem em que aparecem?
Provas
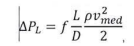
Uma quantidade de interesse para a análise do escoamento em um tubo no estudo da mecânica dos fluidos é a queda de pressão,
, considerando que ela está diretamente relacionada aos requisitos de potência do ventilador ou da bomba para manter o escoamento. A perda de pressão para todos os tipos de escoamentos internos completamente desenvolvidos é expressa como:
![]()
onde f é o fator de Darcy, que, para escoamento laminar, pode ser escrito como:
![]()
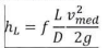
E a altura equivalente da coluna do fluido, chamada perda de carga, pode ser descrita como:
![]()
Considere que a água a 40 ºF (ro = 62,42 Ibm/ft3 e viscosidade mi = 1,038x10-3 Ibm/ft.s) escoa em estado permanente através de um tubo horizontal com diâmetro de 0,12 in (aproximadamente 0,010 ft) e 30 ft de comprimento a uma velocidade média de 3,0 ft/s. Qual a perda de carga desse escoamento? Considere g = 32,2 ft/s2?
Provas
Quando um Engenheiro enfrenta um problema de separar certos componentes contidos numa mistura homogênea, utiliza as diferenças de propriedades dos constituintes da mistura para conseguir seu objetivo. Como é natural, o Engenheiro deve considerar diversos outros fatores para chegar à escolha final do processo separativo. Com base nos processos de separação, analise as assertivas a seguir:
|. As operações unitárias são pertinentes aos processos separativos que dependem apenas das diferenças das propriedades físicas, e não do comportamento químico.
Il. A destilação, também denominada fracionamento ou destilação fracionada, é uma operação unitária. A separação dos constituintes está baseada nas diferenças de concentração.
Ill. A absorção de gás envolve a transferência de um componente solúvel de uma fase gasosa para um absorvente líquido relativamente não-volátil.
IV. A dessorção é o processo de remoção de um componente gasoso pelo contato com uma fase gasosa.
V. A adsorção envolve a transferência de um constituinte de um fluido para a superfície de uma fase sólida.
Estão CORRETAS:
Provas
Considerando as disposições da Lei Federal n.o 14.133/2021, que trata sobre as Licitações e os Contratos Administrativos, no caso de obras, devem ser divulgados no sítio oficial:
Provas
Acerca dos procedimentos contábeis orçamentários dispostos no Manual de Contabilidade Aplicada ao Setor Público - 10ª Edição, assinale a alternativa INCORRETA.
Provas
Um ordenador de despesa de um ente federativo que autoriza a inclusão em restos a pagar de despesas não empenhadas ou que excedam os limites legais está sujeito à pena de:
Provas
Caderno Container