Magna Concursos

Foram encontradas 50 questões.

1095058 Ano: 2018
Disciplina: Telecomunicações
Banca: UFPA
Orgão: UFPA
Provas:
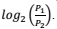
O decibel (dB) que mede a potência relativa de dois sinais ou de um sinal em dois pontos diferentes, onde P1 é a potência em um ponto e P2 é a potência em outro ponto, é representado pela fórmula
 

Provas

Questão presente nas seguintes provas
O Decreto nº 1.171, de 22 de junho de 1994, aprova o Código de Ética Profissional do Servidor Público Civil do Poder Executivo Federal. Além de alterar ou deturpar o teor de documentos que deva encaminhar para providências, usar de artifícios para procrastinar ou dificultar o exercício regular do direito por qualquer pessoa, causando-lhe dano moral ou material, outras vedações ao servidor público são
 

Provas

Questão presente nas seguintes provas
1094959 Ano: 2018
Disciplina: Engenharia de Telecomunicações
Banca: UFPA
Orgão: UFPA
Provas:
Na conversão de sinal analógico para digital, a etapa responsável por arredondar os valores para serem transformados em bits é a
 

Provas

Questão presente nas seguintes provas
1094958 Ano: 2018
Disciplina: Engenharia de Telecomunicações
Banca: UFPA
Orgão: UFPA
Provas:
A modulação que utiliza impulsos com amplitudes diferentes para representar símbolos diferentes é a
 

Provas

Questão presente nas seguintes provas
1094957 Ano: 2018
Disciplina: Engenharia de Telecomunicações
Banca: UFPA
Orgão: UFPA
Provas:
Sobre a multiplexação por divisão em frequência (FDM) é correto afirmar o seguinte:
 

Provas

Questão presente nas seguintes provas
Recondução e reversão, de acordo com a Lei nº 8.112, de 11 de dezembro de 1990, e suas alterações, que dispõem sobre o regime jurídico dos servidores públicos civis da União, das autarquias e das fundações públicas federais, integram as formas de provimento de cargo público, que são
 

Provas

Questão presente nas seguintes provas
Em conformidade com a Lei nº 8.112, de 11 de dezembro de 1990, e suas alterações, que dispõem sobre o regime jurídico dos servidores públicos civis da União, das autarquias e das fundações públicas federais, exoneração e demissão geram vacância do cargo público. Outros quesitos dos quais decorrem a vacância do cargo público são
 

Provas

Questão presente nas seguintes provas
Estabelece a Lei nº 8.112, de 11 de dezembro de 1990, e suas alterações, que dispõem sobre o regime jurídico dos servidores públicos civis da União, das autarquias e das fundações públicas federais, que os servidores investidos em cargo ou função de direção ou chefia e os ocupantes de cargo de Natureza Especial terão substitutos indicados no regimento interno ou, no caso de omissão, previamente designados pelo dirigente máximo do órgão ou entidade. A Lei diz, ainda, que o substituto fará jus à retribuição pelo exercício do cargo ou função de direção ou chefia ou de cargo de Natureza Especial, nos casos dos afastamentos ou impedimentos legais do titular, paga na proporção dos dias de efetiva substituição que excederem ao período, superiores a
 

Provas

Questão presente nas seguintes provas
A autoridade que tiver ciência de irregularidade no serviço público é obrigada a promover a sua apuração imediata, mediante sindicância ou processo administrativo disciplinar, assegurada ao acusado ampla defesa. É o que determina a Lei nº 8.112, de 11 de dezembro de 1990, e suas alterações, que dispõem sobre o regime jurídico dos servidores públicos civis da União, das autarquias e das fundações públicas federais. Da sindicância poderão resultar
 

Provas

Questão presente nas seguintes provas
Além do vencimento, em conformidade com a Lei nº 8.112, de 11 de dezembro de 1990, e suas alterações, que dispõem sobre o regime jurídico dos servidores públicos civis da União, das autarquias e das fundações públicas federais, poderão ser pagas ao servidor as seguintes vantagens:
 

Provas

Questão presente nas seguintes provas