Foram encontradas 50 questões.
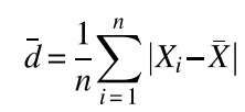
Uma forma de determinar a precisão de uma série de n replicatas de uma determinada medida é calculando seu desvio médio, dado pela fórmula abaixo:

Se uma determinada medida produziu os valores dados abaixo para as replicatas, o desvio médio será igual a
Xi = 10, 8, 8, 9, 10, 9, 8, 10.
Provas
O Diagrama de Orbitais Moleculares (DOM) para o íon molecular H2 + pode ser obtido pela Combinação Linear de Orbitais Atômicos (CLOA) das funções de onda normalizadas que designam o orbital s de um átomo de hidrogênio a, representado como 1sa, com a função onda normalizada do átomo de hidrogênio b, representado como 1sb. Essas combinações lineares estão mostradas abaixo:

A constante de normalização 
Dado: S = Integral de Sobreposição 
Provas


Provas


Provas


Provas


Provas
- SintaxeFrase, Oração e PeríodoOração SubordinadaSubordinada Adjetiva
- SintaxeFrase, Oração e PeríodoOração SubordinadaSubordinada Substantiva


Provas


Provas


Provas
Provas
Caderno Container