Foram encontradas 210 questões.
Instrução: leia o texto abaixo e responda a questão, relativas a ele.
O poder e a superioridade moral da rabiçaca
Xico Sá
1 abr. 2022
Ainda impressionado com a cena do Oscar — o tabefe do ator Will Smith na cara do humorista Chris Rock —, lembrei um gesto de superioridade moral que tem a marca do povo do Nordeste. Trato, óbvio, da rabiçaca (admite-se também a grafia rabissaca), aquela clássica atitude de desprezo com direito a virada brusca no corpo e uma sacodida de cabeça sob medida, de preferência com um efeito especial na cabeleira. [...]
A rabiçaca é a solução, caro Will, embora entenda que a vida possa sair um pouco do roteiro, acontece. A rabiçaca é um gesto tão nobre que foge à alçada do cancelamento. Não há lei que a enquadre, é inimputável.
Nem o muxoxo, aquele estalo com a língua e os lábios, supera a rabiçaca. Vai bem nos personagens de Machado de Assis, mas anda um pouco datado, coisa de época. A rabiçaca segue atualíssima - a cantora maranhense Pabllo é mestra nessa arte.
Por mais que o muxoxo contenha desprezo e desdém, não tem a carga dramática da rabiçaca. Deixemos esse gesto antigo reservado às humilhações sofridas pelo pobre Brás Cubas. Tabefe, tapa ou soco, jamais. No máximo um croque, um cascudo, uns bolos na palmatória, como fazia dona Heroína, minha primeira professora.
O problema do tapa, Chris Rock, nem é o tapa em si, é o barulho. O estalo é que humilha, assegurava Nelson Rodrigues, autoridade teatral por excelência. Outro cara do ramo, o amigo Gregório Duvivier, também escreveu, na Folha, um belo tratado sobre o assunto, incluindo o poder da bifa e suas variantes. Recomendo a leitura.
A rabiçaca, porém, é a melhor vingança. Falo como vítima. A última que dei, ainda era um jovem cabeludo e hippie no clube Titãs de Nova Olinda. Agora não tenho mais condições, rabiçaca de careca ninguém liga, ninguém leva a sério, perde muito em matéria de potência e dramaticidade.
(SÁ, Xico. Disponível em: https://diariodonordeste.verdesmares.com.br/opiniao/colunistas/xicosa/o-poder-e-a-superioridade-moral-da-rabicaca-1.3211652. Acesso em: 01 abr. 2022. Adapt.)
Provas
Instrução: leia o texto abaixo e responda a questão, relativas a ele.
O poder e a superioridade moral da rabiçaca
Xico Sá
1 abr. 2022
Ainda impressionado com a cena do Oscar — o tabefe do ator Will Smith na cara do humorista Chris Rock —, lembrei um gesto de superioridade moral que tem a marca do povo do Nordeste. Trato, óbvio, da rabiçaca (admite-se também a grafia rabissaca), aquela clássica atitude de desprezo com direito a virada brusca no corpo e uma sacodida de cabeça sob medida, de preferência com um efeito especial na cabeleira. [...]
A rabiçaca é a solução, caro Will, embora entenda que a vida possa sair um pouco do roteiro, acontece. A rabiçaca é um gesto tão nobre que foge à alçada do cancelamento. Não há lei que a enquadre, é inimputável.
Nem o muxoxo, aquele estalo com a língua e os lábios, supera a rabiçaca. Vai bem nos personagens de Machado de Assis, mas anda um pouco datado, coisa de época. A rabiçaca segue atualíssima - a cantora maranhense Pabllo é mestra nessa arte.
Por mais que o muxoxo contenha desprezo e desdém, não tem a carga dramática da rabiçaca. Deixemos esse gesto antigo reservado às humilhações sofridas pelo pobre Brás Cubas. Tabefe, tapa ou soco, jamais. No máximo um croque, um cascudo, uns bolos na palmatória, como fazia dona Heroína, minha primeira professora.
O problema do tapa, Chris Rock, nem é o tapa em si, é o barulho. O estalo é que humilha, assegurava Nelson Rodrigues, autoridade teatral por excelência. Outro cara do ramo, o amigo Gregório Duvivier, também escreveu, na Folha, um belo tratado sobre o assunto, incluindo o poder da bifa e suas variantes. Recomendo a leitura.
A rabiçaca, porém, é a melhor vingança. Falo como vítima. A última que dei, ainda era um jovem cabeludo e hippie no clube Titãs de Nova Olinda. Agora não tenho mais condições, rabiçaca de careca ninguém liga, ninguém leva a sério, perde muito em matéria de potência e dramaticidade.
(SÁ, Xico. Disponível em: https://diariodonordeste.verdesmares.com.br/opiniao/colunistas/xicosa/o-poder-e-a-superioridade-moral-da-rabicaca-1.3211652. Acesso em: 01 abr. 2022. Adapt.)
“Não há lei que a enquadre, é inimputável.”
Assinale a alternativa cujo verbo em destaque do período acima foi substituído CORRETAMENTE de acordo com a gramática normativa da língua portuguesa.
Provas
“Deixemos esse gesto antigo reservado às humilhações sofridas pelo pobre Brás Cubas.”
Os períodos das alternativas foram retirados do romance Memórias póstumas de Brás Cubas de Machado de Assis e adaptados em relação ao emprego da crase.
(Assis, Machado de. Obra Completa. vol. I. Rio de Janeiro: Nova Aguilar, 1994. Disponível em: http://www.dominiopublico.gov.br/download/texto/bv000215.pdf. Acesso em: 01 abr. 2022. Adapt.)
Assinale a alternativa que mantém o emprego CORRETO da crase.
Provas
INSTRUÇÃO: leia o texto abaixo e responda à questão.
Saudades da secretária eletrônica
Provas
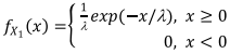
Considere o modelo de regressão linear simples Yi = β0 + β1 + Ei , onde Ei ~ Normal (0, σ2 ). Seja QME o quadrado médio dos resíduos e SMR a soma de quadrados dos resíduos.
Assinale a alternativa que apresenta a estatística de teste para testar as hipóteses H0: β1 = 0 versus H1: β1 ≠ 0.
Provas
Considere uma variável aleatória X normalmente distribuída, com parâmetros desconhecidos. Uma
amostra de tamanho 9 de X forneceu
= 11,0 e s = 1,61.
É CORRETO afirmar que o intervalo de 95% de confiança para µ e o p-valor para o teste Ho: µ = 10 versus Ha: µ ≠ 10 são dados por
Provas
Considere uma variável aleatória X normalmente distribuída, com média µ desconhecida e desvio-padrão σ = 3.
Considere as hipóteses Ho: µ ≤ 10 versus Ha: µ > 10.
Em uma amostra de tamanho 9, a hipótese nula será rejeitada quando
> 12,5.
É CORRETO afirmar que o nível de significância α e o poder do teste quando µ = 13 são iguais a
Provas

Sabe-se que, se
então y/n é o único estimador não viciado e de mínima variância para λ, e Var (y/n) = λ2/n . É CORRETO afirmar que o único estimador não viciado e de mínima variância para Var(y/n) é dado por
Provas
Assinale a alternativa que descreve a Progressão por Mérito Profissional.
Provas
Após examinar a assertiva, assinale a alternativa CORRETA, considerando a justificativa apontada.
Provas
Caderno Container