Foram encontradas 1.028 questões.
No que se refere ao reconhecimento, à mensuração e à classificação dos elementos que compõem o balanço patrimonial de uma companhia aberta, julgue os itens seguintes.
As obrigações com prazo original de cinco anos, cuja liquidação é prevista para seis meses após a data do balanço, devem ser classificadas no passivo não circulante.Provas
Questão presente nas seguintes provas
- Análise de Demonstrações ContábeisFluxo de Caixa
- Análise de Demonstrações ContábeisDemais Tipos de Análise
empresa ativo total passivo exigível patrimônio
R$ mil R$ mil líquido
R$ mil
A 450.000 200.000 250.000
B 450.000 350.000 100.000
A tabela acima apresenta a estrutura patrimonial de duas empresas hipotéticas, A e B, que atuam no segmento de telecomunicações e remuneram as fontes de capital com taxas iguais.
Quando o custo do capital próprio for maior do que o custo do capital de terceiros, o CMPC da empresa A será maior do que o CMPC da empresa B.
Provas
Questão presente nas seguintes provas
Julgue os itens a seguir, acerca dos sistemas de custos e informações gerenciais para tomada de decisão.
O frete relativo às vendas de mercadorias constitui custos do período, devendo ser levados a resultado no exercício de ocorrência do fato gerador.Provas
Questão presente nas seguintes provas
- Análise de Demonstrações ContábeisEstrutura de Capital e SolvênciaIndicadores de Endividamento e Solvência
- Análise de Demonstrações ContábeisÍndices
empresa ativo total passivo exigível patrimônio
R$ mil R$ mil líquido
R$ mil
A 450.000 200.000 250.000
B 450.000 350.000 100.000
A tabela acima apresenta a estrutura patrimonial de duas empresas hipotéticas, A e B, que atuam no segmento de telecomunicações e remuneram as fontes de capital com taxas iguais.
Quando o custo do capital próprio for igual ao custo de capital de terceiros, o CMPC da empresa A será 40% maior do que o CMPC da empresa B.
Provas
Questão presente nas seguintes provas
- Demonstrações ContábeisBP: Balanço Patrimonial
- Demonstrações ContábeisDRE: Demonstração do Resultado do Exercício
- LegislaçãoTributos
No que concerne ao cálculo e escrituração do PIS/PASEP, da COFINS, do imposto de renda das pessoas jurídicas (IRPJ) e da CSLL, julgue os itens consecutivos.
exceção das empresas optantes pelo SIMPLES, aplica-se o regime de não cumulatividade da COFINS a todas as pessoas jurídicas tributadas para fins de IR.Provas
Questão presente nas seguintes provas
Acerca das técnicas de modulação analógica e seus respectivos
esquemas de demodulação, julgue os itens seguintes.
O sistema de TV analógica PAL-M, adotado no Brasil, utiliza o esquema de modulação AM-DSB (amplitude modulation - double side band).
O sistema de TV analógica PAL-M, adotado no Brasil, utiliza o esquema de modulação AM-DSB (amplitude modulation - double side band).
Provas
Questão presente nas seguintes provas
Considere que a base em que cada número está representado esteja indicada em subscrito, de forma que o número 10dez (número dez, na base dez), nas bases dois e cinco, seja indicado por 1010dois e 20cinco. Com base nessa informação, é correto afirmar que
10011011dois corresponde a 155dez.
10011011dois corresponde a 155dez.
Provas
Questão presente nas seguintes provas
Acerca das técnicas de modulação analógica e seus respectivos esquemas de demodulação, julgue os itens seguintes.
Um detector de envelope pode ser utilizado como parte de um demodulador FM (frequency modulation)
Um detector de envelope pode ser utilizado como parte de um demodulador FM (frequency modulation)
Provas
Questão presente nas seguintes provas
Considere que a base em que cada número está representado esteja
indicada em subscrito, de forma que o número 10dez (número dez,
na base dez), nas bases dois e cinco, seja indicado por 1010dois e
20cinco. Com base nessa informação, é correto afirmar que
7614oito corresponde a F8Cdezesseis.
7614oito corresponde a F8Cdezesseis.
Provas
Questão presente nas seguintes provas


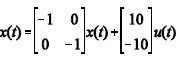
y(t) = [-1 1] x(t)
Provas
Questão presente nas seguintes provas
Cadernos
Caderno Container