Magna Concursos

Foram encontradas 517 questões.

722533 Ano: 2007
Disciplina: Conhecimentos Bancários
Banca: CESGRANRIO
Orgão: TCE-RO

O Banco Central do Brasil pode ser considerado como o banco dos bancos devido à sua atribuição de:

 

Provas

Questão presente nas seguintes provas
722532 Ano: 2007
Disciplina: Matemática Financeira
Banca: CESGRANRIO
Orgão: TCE-RO

Um investidor aplica R$ 100,00 no primeiro dia do mês e recebe R$ 1,00 em cada primeiro dia dos cinco meses subseqüentes. Finalmente, no primeiro dia do sexto mês subseqüente recebe R$ 101,00. Qual é a taxa de juros desta aplicação?

 

Provas

Questão presente nas seguintes provas
722531 Ano: 2007
Disciplina: Matemática Financeira
Banca: CESGRANRIO
Orgão: TCE-RO

No sistema de amortização de dívidas conhecido como SAC, as:

 

Provas

Questão presente nas seguintes provas
722530 Ano: 2007
Disciplina: Matemática Financeira
Banca: CESGRANRIO
Orgão: TCE-RO

Qual o juro pago no caso de um empréstimo de R$ 1 000,00, por 3 meses, à taxa de juros compostos de 3% a. m.?

 

Provas

Questão presente nas seguintes provas
722529 Ano: 2007
Disciplina: Matemática Financeira
Banca: CESGRANRIO
Orgão: TCE-RO

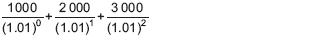
A taxa de juros sendo de 1% a. m., qual o valor atual de um fluxo financeiro composto de três pagamentos: R$ 1 000,00 daqui a um mês, R$ 2 000,00 em dois meses e R$ 3 000,00 em 3 meses?

 

Provas

Questão presente nas seguintes provas
722528 Ano: 2007
Disciplina: Matemática Financeira
Banca: CESGRANRIO
Orgão: TCE-RO

O valor dos juros simples obtidos pela aplicação de um capital de R$ 1 000,00 por 8 meses, à taxa de juros de 21% a. a., em reais, é de:

 

Provas

Questão presente nas seguintes provas
722527 Ano: 2007
Disciplina: Estatística
Banca: CESGRANRIO
Orgão: TCE-RO

A variância de uma distribuição de probabilidades descreve o(a):

 

Provas

Questão presente nas seguintes provas
722526 Ano: 2007
Disciplina: Matemática
Banca: CESGRANRIO
Orgão: TCE-RO

Dois dados comuns, "honestos", são lançados simultaneamente. A probabilidade de que saia pelo menos um 6 é igual a:

 

Provas

Questão presente nas seguintes provas
722525 Ano: 2007
Disciplina: Matemática
Banca: CESGRANRIO
Orgão: TCE-RO

Uma urna contém 6 bolas marcadas, respectivamente, com os números 1, 2, 3, 3, 4 e 5. Uma pessoa retira uma das bolas aleatoriamente da urna. A probabilidade de sair uma bola com o número 3 é:

 

Provas

Questão presente nas seguintes provas
722524 Ano: 2007
Disciplina: Economia
Banca: CESGRANRIO
Orgão: TCE-RO

Marque a afirmação correta, a respeito do custo médio e do custo marginal.

 

Provas

Questão presente nas seguintes provas