Foram encontradas 50 questões.
- Protocolos e ServiçosAutenticação e SegurançaTLS: Transport Layer Security
- Protocolos e ServiçosInternet e EmailHTTPS: Hyper Text Transfer Protocol Secure
Provas
Provas
Avalie se o Estado de Rondônia faz limite com os seguintes Estados:
I. Acre.
II. Amapá.
III. Amazonas.
IV. Mato Grosso.
Estão corretos:
Provas
A história da construção da ferrovia Madeira-Mamoré passa pela questão do Acre (1899-1902), que ocasionou a assinatura de um importante tratado em 1903. Esse tratado define a compra da Região do Acre por 2 milhões de libras esterlinas e viabiliza a construção da Estrada de Ferro Madeira-Mamoré por parte do governo brasileiro, então vivamente interessado na exploração da borracha do Acre e do noroeste boliviano.
Esse documento é conhecido como Tratado de:
Provas
Em relação a aspectos relevantes da história da formação de Rondônia, avalie se as afirmativas a seguir são falsas (F) ou verdadeiras (V):
Até o século XVII apenas algumas missões religiosas haviam chegado à região onde hoje se encontra o Estado de
Rondônia; no início do século XVIII, portugueses subiram o rio Madeira até o rio Guaporé e chegaram ao arraial de
Bom Jesus, antigo nome da localidade de Cuiabá, onde descobriram ouro.
A partir da descoberta do ouro, ocorrem seguidas explorações de bandeirantes pelo vale do rio Guaporé em busca
das riquezas minerais da área.
Pelo Tratado de Tordesilhas toda a região pertencia à Espanha; com as Bandeiras e o mapeamento dos rios Madeira,
Guaporé e Mamoré, no período de 1722 a 1747, os limites entre Portugal e Espanha foram redefinidos por meio
dos Tratados de Madri (1750) e de Santo Ildefonso (1777); Portugal passou então a ter a posse definitiva da região.
As afirmativas são respectivamente:
Provas
Provas
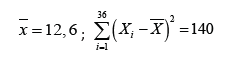
Uma amostra aleatória simples de tamanho 36 de uma densidade normalmente distribuída com média µ desconhecida foi observada e apresentou os seguintes resultados:

Um intervalo de 95% de confiança para µ será dado
aproximadamente por:
Provas
Avalie se as seguintes distribuições pertencem à família exponencial:
I. Binomial.
II. Poisson.
III. Exponencial.
IV. Uniforme.
Pertencem à família exponencial:
Provas
18, 15, 24, 20, 22, 21, 19, 30, 20
Provas
Considere uma amostra aleatória simples X1,X2,…,Xn de uma distribuição Poisson com parâmetro
λ e avalie se as seguintes afirmativas são falsas (F) ou verdadeiras (V) ✓
é um estimador não viesado de λ ✓
é o estimador de máxima verossimilhança de λ ✓
é uma estatística suficiente.✓
é o estimador de máxima verossimilhança de 1/λProvas
Caderno Container