Foram encontradas 50 questões.
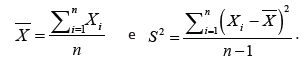
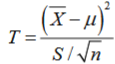
Considere uma amostra aleatória simples de tamanho n de uma distribuição normal com média µ e variância σ2 e sejam:

Avalie se as afirmativas a seguir são falsas (F) ou verdadeiras (V
I.
são independentes.
II.
são estimadores não viesados de µ e de σ2 respectivamente.
III.
tem distribuição t-Student com n graus de
liberdade.
As afirmativas são respectivamente:
Provas
- AmostragemTipos de AmostragemAmostragem aleatória simples
- AmostragemTipos de AmostragemAmostragem por Estratificação
Avalie se as afirmativas a seguir, relativas à amostragem estratificada, são falsas (F) ou verdadeiras (V):
✓ A amostragem estratificada (AE) consiste em se dividir
uma população em grupos, chamados estratos, de acordo
com uma ou mais características previamente conhecidas.
✓ Em cada estrato é selecionada uma amostra, geralmente
uma amostra aleatória simples com ou sem reposição, em
proporções convenientes.
✓ Um objetivo central da estratificação é produzir
estimativas mais precisas e produzir estimativas para
a população como um todo e para subpopulações; em
geral, quanto mais os elementos de cada estrato forem
parecidos entre si e diferentes entre os estratos, maior
será a precisão dos estimadores.
As afirmativas são respectivamente:
Provas
A função de probabilidade conjunta de duas variáveis aleatórias X e Y é dada por:

Assim, por exemplo, P[ X = 0; Y = 1 ] = 0,2.
O coeficiente de correlação entre X e Y é aproximadamente igual a:
Provas
18, 15, 24, 20, 22, 21, 19, 30, 20
Provas
Observe a tabela de contingências a seguir:

Provas
Provas
- Estatística InferencialVariáveis AleatóriasVariável Aleatória Discreta
- ProbabilidadesEsperança Matemática
Provas
Provas
18, 15, 24, 20, 22, 21, 19, 30, 20
Suponha que se note, posteriormente, que a idade 24 está erradamente registrada, sendo na verdade igual a 44. Nesse caso, avalie se essa substituição implica que:
I. O valor da média amostral aumentará.
II. O valor da mediana amostral aumentará.
III. O valor da variância amostral aumentará
Assinale a alternativa correta.
Provas
Provas
Caderno Container