Foram encontradas 3.509 questões.
Respondida
Acerca da vitamina D, assinale a opção correta.
Respondida
A
Apesar de tanto as anfetaminas quanto a cocaína serem
consideradas drogas psicoestimulantes, as primeiras fazem com
que haja aumento de dopamina na fenda sináptica, enquanto a
segunda provoca o efeito contrário. A cocaína inibe o
transportador de recaptação da dopamina e, assim, diminui a
concentração sináptica desse neurotransmissor.
B
A sibutramina não foi proibida devido ao fato de não provocar
tolerância; assim, ao longo do tratamento, para se obter o
mesmo efeito terapêutico, as doses podem ser diminuídas,
aumentando-se a segurança da terapia.
C
Referidos fármacos eram utilizados para a redução de peso e
para a redução dos níveis de colesterol e triglicerídios
plasmáticos devido à sua capacidade de se ligar aos lipídios da
dieta, interferindo na absorção intestinal dessas gorduras.
D
A venda da sibutramina foi mantida devido ao fato de o seu
mecanismo de ação ser completamente diverso daquele dos
demais fármacos. Ela não atua na redução do apetite, mas
promove a sensação de saciedade por inchar em contato com
o conteúdo estomacal.
E
As anfetaminas levam ao aumento da concentração de
neurotransmissores monoaminas na fenda sináptica, podendo
alterar as funções de raciocínio e emoções e provocar sensação
de satisfação e euforia.
Questão Anulada
Respondida
O preparo de soluções de diferentes reagentes muitas vezes é
função dos farmacêuticos presentes nas farmácias magistrais.
Acerca dessa prática, assinale a opção correta.
A
Para se preparar uma solução-padrão com concentração
conhecida de certa substância, deve-se utilizar uma proveta
para aferir o volume final da solução.
B
Para a preparação correta de soluções-padrão, toda a vidraria
que será utilizada deverá ser previamente lavada com água e
sabão, enxaguada com água purificada e seca a pelo menos
100 °C para garantir a evaporação completa da água.
C
Quando a substância a ser diluída não for facilmente solúvel
em água, é aconselhável transferir o material do pesa-filtro, ou
do vidro de relógio, para um balão volumétrico e adicionar
água destilada. O balão e o seu conteúdo deverão ser então
aquecidos ligeiramente, com agitação, até que o sólido se
dissolva. Depois de resfriada a solução, o seu volume deverá
ser completado até o traço de referência do balão volumétrico.
D
Quando a substância a ser diluída não for facilmente solúvel
em água, é aconselhável transferir o material do pesa-filtro, ou
do vidro de relógio, para um béquer e adicionar água destilada.
O béquer e o seu conteúdo deverão ser então aquecidos
ligeiramente, com agitação, até que o sólido se dissolva.
Depois de resfriada, a solução poderá ser transferida para um
balão volumétrico e seu volume, completado até o traço de
referência.
E
Para o preparo de soluções de reagentes com concentração
aproximada, é, em geral, suficiente pesar a quantidade
aproximada de substância necessária em um vidro de relógio
ou recipiente semelhante e, em seguida, adicionar o volume
necessário de solvente, utilizando para isso a aferição
volumétrica contida em um béquer.
Questão Anulada
Respondida
Assinale a opção correta acerca das ferramentas básicas que podem
ser utilizadas no processo de gestão da qualidade em indústrias
farmacêuticas, assinale a opção correta.
Questão Anulada
Respondida
De acordo com a legislação profissional constante no Código de
Ética da Profissão Farmacêutica, assinale a opção correta. Nesse
sentido, considere que as siglas CFF e CRF, sempre que
empregadas, se referem, respectivamente, a Conselho Federal de
Farmácia e conselho regional de farmácia.
A
O CFF tem como uma de suas atribuições eleger, até a terceira
reunião ordinária de cada biênio, sua diretoria, composta de
presidente, vice-presidente, secretário-geral e tesoureiro.
B
A responsabilidade administrativa de cada CRF cabe ao
respectivo secretário-geral, inclusive a prestação de contas
perante o órgão federal competente.
C
Consta nas atribuições dos CRFs dirimir dúvidas relativas à
competência e ao âmbito das atividades profissionais
farmacêuticas, com recurso de caráter não suspensivo para o
CFF.
D
O mandato da diretoria do CFF terá a duração de dois anos,
sendo seus membros eleitos mediante voto direto e secreto por
maioria absoluta.
E
O mandato dos membros do CFF é privativo de farmacêuticos
de nacionalidade brasileira, será gratuito, meramente
honorífico e terá a duração de três anos.
Questão Anulada
Respondida
Acerca da Lei Federal n.º 6.360/1976, assinale a opção correta.
Questão Anulada
Respondida
Considerando o conceito de rendimento referente à opção
terapêutica que possibilita alcançar o melhor resultado clínico por
unidade monetária aplicada, assinale a opção que contém o tipo de
análise fármaco-econômica que utiliza esse conceito de rendimento.
Questão Anulada
Respondida
Com relação às doenças de origem bacteriana, assinale a opção em
que é correlacionada a enfermidade ao agente infeccioso.
A
O tétano, doença letal provocada pela bactéria Clostridium
perfringens, caracteriza-se por espasmos dolorosos, rigidez dos
músculos e distúrbios neurológicos.
B
O sarampo, doença altamente contagiosa que afeta
principalmente crianças, é causado pelo Mycobacterium
intermediu e caracteriza-se pela infecção do sistema
respiratório.
C
A gonorreia, doença infectocontagiosa sexualmente
transmissível, caracterizada pela presença abundante de
secreção purulenta na uretra do homem e da mulher, é causada
pela bactéria Neisseria bacilliformis.
D
A coqueluche é uma doença causada pela
bactéria Haemophilus pertussi, que infecta a mucosa das
vias respiratórias.
E
A hanseníase, doença infecciosa que atinge principalmente a
pele e os nervos, é causada pela bactéria Pseudomonas
aeruginosa.
Questão Anulada
Respondida
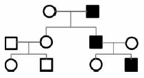
Assinale a opção que representa o heredograma com características
de herança ligada ao sexo.
Questão Anulada
Respondida
Questão Anulada