Foram encontradas 199 questões.
Uma companhia utiliza um sistema de avaliação de desempenho de seus funcionários por meio de dois indicadores de performance: Qualidade das tarefas e a Tempestividade com que as tarefas são realizadas.
Os funcionários receberam, na última avaliação, as medidas indicadas na tabela a seguir:

Com base na tabela, é correto afirmar que:
Os funcionários receberam, na última avaliação, as medidas indicadas na tabela a seguir:

Com base na tabela, é correto afirmar que:
Provas
Questão presente nas seguintes provas
Os jogadores A e B se encontram para jogar uma partida de tênis em no máximo cinco sets, na qual será vencedor aquele que primeiro ganhar três sets.
Por exemplo, partidas terminadas poderão ter como resultado: AAA, AABA, BABAB, etc. Então, o número de possíveis resultados para uma partida terminada é:
Por exemplo, partidas terminadas poderão ter como resultado: AAA, AABA, BABAB, etc. Então, o número de possíveis resultados para uma partida terminada é:
Provas
Questão presente nas seguintes provas
Sejam X e Y duas variáveis aleatórias quaisquer. Então:
Provas
Questão presente nas seguintes provas
- Distribuições de ProbabilidadeDistribuições ContínuasNormal
- Estatística DescritivaMedidas de Dispersão
Considere uma Amostra Aleatória Simples de n unidades extraídas de uma população na qual a característica, X, estudada tem distribuição Normal com média ? e variância
, ambas desconhecidas, mas finitas. Considere, ainda, as estatísticas média


Provas
Questão presente nas seguintes provas
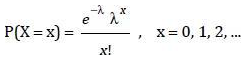
Dentre as distribuições de probabilidades a seguir, aquela em que 
Provas
Questão presente nas seguintes provas
Sejam X, Y e Z três variáveis com correlações de Pearson expressas pela matriz abaixo:

Pode-se, então, afirmar que:

Pode-se, então, afirmar que:
Provas
Questão presente nas seguintes provas
O coeficiente de determinação de um modelo de regressão linear serve como uma importante ferramenta para avaliar o grau de ajustamento do modelo aos dados.
A respeito desse coeficiente, assinale a afirmativa incorreta.
A respeito desse coeficiente, assinale a afirmativa incorreta.
Provas
Questão presente nas seguintes provas
- Gestão da QualidadeFerramentas de Gestão da Qualidade
- Gestão da QualidadeMelhoria Contínua e Qualidade Total
Quanto ao uso de indicadores de produtividade, não é correto afirmar que:
Provas
Questão presente nas seguintes provas
Obriga-se ao pagamento do ICMS, até o dia 10 (dez) do mês seguinte ao da prestação, calculado por estimativa, mediante a aplicação da alíquota de 5% (cinco por cento) sobre o valor da prestação do serviço, acrescido de todos os encargos relacionados à sua utilização, a empresa concessionária do serviço público de:
Provas
Questão presente nas seguintes provas
Saldos credores acumulados não podem ser transferidos:
Provas
Questão presente nas seguintes provas
Cadernos
Caderno Container