Foram encontradas 720 questões.
Cinco cadeiras estão alinhadas lado a lado, todas volta das para frente, nas quais quatro pessoas, identificadas
por suas iniciais A, B, C e D, irão sentar-se, uma pessoa
por cadeira. O número de maneiras distintas de elas sentarem, de modo que a pessoa B sente-se imediatamente
à esquerda da pessoa A, é
Provas
Questão presente nas seguintes provas
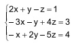
Este sistema linear está parcialmente resolvido com a utilização da regra de Cramer:
Resolução iniciada:
Com relação aos valores das incógnitas, é correto afirmar que
Resolução iniciada:
Com relação aos valores das incógnitas, é correto afirmar que
Provas
Questão presente nas seguintes provas
Considere o sistema de equações lineares:

O valor da expressão: 4/7 · (a + b + c + d + e) é igual a
Provas
Questão presente nas seguintes provas
Uma lesma percorre uma determinada distância, em cm,
em seu primeiro dia de movimentação. No segundo dia,
ela percorre 10 cm a mais do que percorreu no dia anterior.
No terceiro dia, ela percorre 10 cm a mais do que percorreu no segundo dia e assim segue, sempre aumentando a
distância percorrida em 10 cm relativamente ao percorrido
no dia anterior. Prossegue dessa maneira até terminar sua
caminhada do 22o
dia. Sabendo que ela percorreu ao todo,
nesses 22 dias, a distância de 28,6 m, é correto afirmar
que o primeiro dia em que a lesma percorreu mais que
1 metro e meio no mesmo dia foi o
Provas
Questão presente nas seguintes provas
A sequência numérica a seguir foi criada com um padrão
lógico:
10, 15, 13, 12, 18, 16, 14, 21, 19, 16, 24, 22, 18, ...
Nessa sequência, a diferença entre o 39o e o 29o elementos é igual a
10, 15, 13, 12, 18, 16, 14, 21, 19, 16, 24, 22, 18, ...
Nessa sequência, a diferença entre o 39o e o 29o elementos é igual a
Provas
Questão presente nas seguintes provas
O arco trigonométrico 29π/6 radianos é solução da
equação trigonométrica:
Provas
Questão presente nas seguintes provas
Considere a função trigonométrica f(x) = cos(3x). No intervalo real de 0 a 2π radianos, essa função apresenta
um números de raízes igual a
Provas
Questão presente nas seguintes provas
O formato de um terreno era um triângulo equilátero
cujo lado media 8√ 3 m. O terreno foi expandido prolongando-se um de seus lados em (35 - 4 √ 3) me unindo-se a extremidade desse lado que foi prolongado com o
vértice do triângulo que não pertence ao lado aumentado. Com essa nova configuração, a área do terreno foi
acrescida em
Provas
Questão presente nas seguintes provas
Estudiosos identificaram que a população de uma espécie rara de ave diminuía em 4% a cada ano. O tempo
necessário, aproximado em anos, desde esta identificação até a população dessa espécie estar reduzida a sua
quarta parte, é de
Dados: log 0,25 = –0,6021 e log 0,96 = –0,0177
Dados: log 0,25 = –0,6021 e log 0,96 = –0,0177
Provas
Questão presente nas seguintes provas
Ivan aplicou R$ 500,00, por dois meses, em uma aplicação que pagava 1% ao mês no regime de juros simples,
e fez outra aplicação, desta vez de R$ 400,00, também
por dois meses, que pagava 0,9% ao mês no regime de
juros compostos. Ao final do prazo estabelecido, é correto afirmar que Ivan recebeu de rendimento dessas duas
aplicações a quantia de
Provas
Questão presente nas seguintes provas
Cadernos
Caderno Container