Magna Concursos

Foram encontradas 1.020 questões.

3748354 Ano: 2025
Disciplina: Matemática
Banca: VUNESP
Orgão: SEDUC-SP
Uma sala de aula tem N > 1 meninos e M > 2 meninas. Uma comissão com duas meninas e um menino dessa classe deve ser formada para discursarem na formatura da turma.

O número de possibilidades para formar essa comissão pode ser calculado por meio da fórmula:
 

Provas

Questão presente nas seguintes provas
3748353 Ano: 2025
Disciplina: Matemática
Banca: VUNESP
Orgão: SEDUC-SP
Um chaveiro cobra uma taxa fixa de R$ 15,00 para ir até a casa do cliente, acrescida de R$ 120,00 por hora de trabalho no local.

Considerando-se V(t) o valor total que será cobrado do cliente após t horas de trabalho no seu local, é correto afirmar que
 

Provas

Questão presente nas seguintes provas
3748352 Ano: 2025
Disciplina: Matemática
Banca: VUNESP
Orgão: SEDUC-SP
Se o quarto termo de uma progressão aritmética (PA) é 5 e o nono termo é 20, a soma dos primeiros 2025 termos dessa PA é igual ao produto de 2025 por
 

Provas

Questão presente nas seguintes provas
3748351 Ano: 2025
Disciplina: Matemática
Banca: VUNESP
Orgão: SEDUC-SP
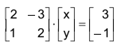
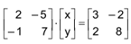
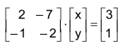
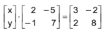
O sistema linear Enunciado 3748351-1 escrito na forma matricial, equivale a:
 

Provas

Questão presente nas seguintes provas
3748350 Ano: 2025
Disciplina: Matemática
Banca: VUNESP
Orgão: SEDUC-SP
Ao longo de um dia, a temperatura de uma localidade, em T(t) graus Fahrenheit, foi modelada por Enunciado 3748350-1 sendo t a hora do dia, com t = 0 correspondendo às 6 horas da manhã. Sabendo-se que a fórmula de conversão de temperatura da escala Fahrenheit para a escala Celsius é dada por Enunciado 3748350-2 a temperatura, em graus Celsius, às 6 horas da tarde desse dia e nessa localidade era de, aproximadamente,
 

Provas

Questão presente nas seguintes provas
3748349 Ano: 2025
Disciplina: Matemática
Banca: VUNESP
Orgão: SEDUC-SP
A meia-vida do isótopo mais estável do rádio é de, aproximadamente, 1 600 anos, o que significa que, a cada 1 600 anos, a massa de uma amostra desse isótopo se reduz à metade. Uma amostra de q0 miligramas desse isótopo se desintegra de maneira que, após t anos, a sua massa passará a ser igual a q(t) miligramas, em que q(t) = q02kt, e k é uma constante real.

Nessa circunstância, o valor de k é igual a:
 

Provas

Questão presente nas seguintes provas
3748348 Ano: 2025
Disciplina: Matemática
Banca: VUNESP
Orgão: SEDUC-SP

Na figura, os ângulos destacados são congruentes, ST = 32/5 cm, RT = 29/5 cm e QS = 96/5 cm.

Enunciado 3748348-1

A medida de Enunciado 3748348-2, em centímetros, é igual a:

 

Provas

Questão presente nas seguintes provas
3748347 Ano: 2025
Disciplina: Matemática
Banca: VUNESP
Orgão: SEDUC-SP
Em uma pesquisa sobre uso das redes sociais A, B e C, feita com 150 pessoas, foram obtidos os seguintes dados:

1) 55 usam a rede social A;
2) 68 usam a rede social B;
3) 99 usam a rede social C;
4) 25 usam as redes sociais A e B;
5) 39 usam as redes sociais B e C;
6) 22 usam as redes sociais A e C;
7) 4 não usam quaisquer das três redes sociais;
8) há pessoas que usam as três redes sociais.

Sorteando-se ao acaso uma das pessoas entrevistadas, a probabilidade de que ela tenha declarado usar apenas as redes sociais A e B é de
 

Provas

Questão presente nas seguintes provas
3748346 Ano: 2025
Disciplina: Matemática
Banca: VUNESP
Orgão: SEDUC-SP
A figura indica um hexágono regular e um pentágono regular que compartilham um mesmo lado. Sabe-se ainda que as retas r e s são paralelas, cortadas pela transversal t. 

Enunciado 3748346-1

Em relação à figura, a medida de α é
 

Provas

Questão presente nas seguintes provas
3748345 Ano: 2025
Disciplina: Matemática
Banca: VUNESP
Orgão: SEDUC-SP
Samanta deseja estimar quanto tempo vai levar para ir caminhando da sua casa até a casa de sua avó ao ritmo de 4,2 km/h.

Sabendo-se que a distância que Samanta deve percorrer é de 1,6 km, é correto estimar que o tempo que ela levará para percorrer essa distância é de, aproximadamente,
 

Provas

Questão presente nas seguintes provas