Foram encontradas 56 questões.


Provas
Questão presente nas seguintes provas


Provas
Questão presente nas seguintes provas


Provas
Questão presente nas seguintes provas


Provas
Questão presente nas seguintes provas
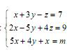
O sistema:
é indeterminado. O valor de m é:
é indeterminado. O valor de m é:Provas
Questão presente nas seguintes provas
931168
Ano: 2011
Disciplina: Direito da Criança e do Adolescente
Banca: CEPERJ
Orgão: SEDUC-RJ
Disciplina: Direito da Criança e do Adolescente
Banca: CEPERJ
Orgão: SEDUC-RJ
Provas:
Considere a Lei Federal nº 8069/70 – Estatuto da Criança e do
Adolescente (ECA) – e responda às questões de nº 20 a 22.
O Conselho Tutelar é o órgão encarregado pela sociedade de zelar pelo cumprimento dos direitos da criança e do adolescente definidos no ECA. O artigo 132 define que, em cada município, haverá, no mínimo, um Conselho Tutelar, composto de:Adolescente (ECA) – e responda às questões de nº 20 a 22.
Provas
Questão presente nas seguintes provas
Cadernos
Caderno Container