Foram encontradas 56 questões.
A figura abaixo mostra três círculos, cada um com 10cm de raio, tangentes entre si.

Considerando √3 = 1,73 e π = 3,14 , o valor da área sombreada, em cm2 , é:

Considerando √3 = 1,73 e π = 3,14 , o valor da área sombreada, em cm2 , é:
Provas
Questão presente nas seguintes provas
Sobre os números reais a e b sabe-se que a + b = 6 e que
O valor de a 2 + b 2 é:
O valor de a 2 + b 2 é:Provas
Questão presente nas seguintes provas
São dadas as matrizes
A matriz X é tal que AX = B.
A soma dos elementos da matriz X é:
A matriz X é tal que AX = B. A soma dos elementos da matriz X é:
Provas
Questão presente nas seguintes provas
A figura abaixo mostra o polígono F, com todos os seus ângulos retos e as medidas de alguns lados dados em centímetros.

O polígono F gira em torno da reta r, que contém o seu maior lado produzindo um sólido de revolução. A área total desse sólido é:

O polígono F gira em torno da reta r, que contém o seu maior lado produzindo um sólido de revolução. A área total desse sólido é:
Provas
Questão presente nas seguintes provas
A figura abaixo mostra o perfil de um muro construído para conter uma encosta pouco estável. A primeira parte da rampa tem 10m de comprimento e inclinação de 25° com a horizontal, e a segunda parte tem 10 m de comprimento e inclinação de 50° com a horizontal.

Considerando sen25° = 0, 42 e cos25° = 0,91, o valor da altura total do muro (h) é, aproximadamente:

Considerando sen25° = 0, 42 e cos25° = 0,91, o valor da altura total do muro (h) é, aproximadamente:
Provas
Questão presente nas seguintes provas
Considere a função de variável real
O valor de 
O valor de 
Provas
Questão presente nas seguintes provas
Na figura abaixo, ABCD é um quadrado, os pontos M e N são médios dos lados BC e CD, respectivamente, e P é o ponto de interseção dos segmentos AM e BN.

A razão
é igual a:

A razão
é igual a:Provas
Questão presente nas seguintes provas
Para cada número real t, o ponto P= (x, y) , definido pelas equações
pertence à reta r.
O ponto P= (7,k ) pertence à reta r. O valor de k é:
pertence à reta r. O ponto P= (7,k ) pertence à reta r. O valor de k é:
Provas
Questão presente nas seguintes provas
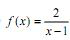
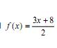
Se
a raiz da equação f
f =10 é:
a raiz da equação f
f =10 é:Provas
Questão presente nas seguintes provas
Considere a igualdade
= α+√b.O valor de α+b é.
= α+√b.O valor de α+b é.Provas
Questão presente nas seguintes provas
Cadernos
Caderno Container