Foram encontradas 120 questões.
Texto CB1A1AAA

José Pacheco. Para que serve a formação? Escola da ponte – formação e transformação da educação. São Paulo: Vozes, 2010, p. 4 (com adaptações)
Julgue o seguinte item, com relação aos aspectos gramaticais do texto CB1A1AAA.
A substituição da locução verbal “terá mudado” (l.15) pela forma verbal mudou manteria a correção gramatical do texto, mas alteraria o sentido do período.
Provas
Texto CB1A1AAA

José Pacheco. Para que serve a formação? Escola da ponte – formação e transformação da educação. São Paulo: Vozes, 2010, p. 4 (com adaptações)
Julgue o seguinte item, com relação aos aspectos gramaticais do texto CB1A1AAA.
Sem prejuízo das informações veiculadas no texto, a forma verbal “responda” (l.7) poderia ser substituída por atenda.
Provas
Com relação a matemática financeira, cada um do item a seguir apresenta uma situação hipotética seguida de uma assertiva a ser julgada.
Um título de valor nominal igual a R$ 20.800 foi descontado 6 meses antes do vencimento, à taxa de desconto racional simples de 5% ao mês. Nesse caso, o valor descontado foi igual a R$ 16.000.
Provas
Com relação a matemática financeira, cada um do item a seguir apresenta uma situação hipotética seguida de uma assertiva a ser julgada.
Um capital C foi aplicado, no regime de juros simples, à taxa de juros i% ao mês, por um período de t meses, em que t > 2. Outro capital, de mesmo valor C, foi aplicado, no regime de juros compostos, também à taxa de i% ao mês, pelo mesmo período t. Nesse caso, o montante auferido no regime de juros compostos é maior que o montante auferido no regime de juros simples.
Provas
Com relação a matemática financeira, cada um do item a seguir apresenta uma situação hipotética seguida de uma assertiva a ser julgada.
Um título de valor nominal igual a R$ 5.300 foi descontado 3 meses antes do vencimento, à taxa de desconto comercial simples de 24% ao ano, sem cobrança de taxas administrativas. Nesse caso, o valor descontado foi de R$ 5.000.
Provas
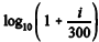
Com relação a matemática financeira, cada um do item a seguir apresenta uma situação hipotética seguida de uma assertiva a ser julgada.
Um capital C foi aplicado à taxa de juros compostos de i%
ao ano, com capitalização quadrimestral. Nessa situação,
o período de tempo dessa aplicação para que o montante
seja igual a 2C é expresso por
.
Provas
- LegislaçãoDiretrizes Curriculares NacionaisDiretrizes Curriculares Nacionais para o Ensino Médio
- LegislaçãoDiretrizes Curriculares NacionaisDiretrizes Curriculares Nacionais para a Educação Básica
As Diretrizes Curriculares Nacionais (DCN) fixadas pelo Conselho Nacional de Educação (CNE) estabelecem referências para a educação infantil, o ensino fundamental e o ensino médio. Acerca desse assunto, julgue o item a seguir.
As DCN foram elaboradas separadamente, em documentos específicos, para o ensino infantil, o fundamental e o médio.
Provas
- LegislaçãoDiretrizes Curriculares NacionaisDiretrizes Curriculares Nacionais para o Ensino Médio
- LegislaçãoLei 9.394/1996: Lei de Diretrizes e Bases da Educação Nacional
Tendo como referência a Lei de Diretrizes e Bases da Educação (LDB) e as Diretrizes Curriculares Nacionais (DCN), julgue o item subsequente, a respeito do ensino médio.
No ensino médio, a grandeza qualitativa dos componentes curriculares é menos valorizada que as conexões, as articulações, as experiências, as escolhas, os julgamentos, o prazer de conhecer e o rigor no trato do conhecimento.
Provas
- LegislaçãoDiretrizes Curriculares NacionaisDiretrizes Curriculares Nacionais para o Ensino Médio
- LegislaçãoLei 9.394/1996: Lei de Diretrizes e Bases da Educação Nacional
Tendo como referência a Lei de Diretrizes e Bases da Educação (LDB) e as Diretrizes Curriculares Nacionais (DCN), julgue o item subsequente, a respeito do ensino médio.
É garantido ao educando que está no ensino médio o acesso à educação intermediária profissional.
Provas
Disciplina: Legislação Estadual e Distrital
Banca: CESPE / CEBRASPE
Orgão: SEDUC-AL
Considerando as disposições do Estatuto do Magistério Público do Estado de Alagoas — Lei n.º 6.196/2000 —, do Plano de Cargos e Carreiras do Magistério — Lei n.º 6.197/2000 — e do Código de Ética do Servidor Público — Lei n.º 6.754/2000 —, julgue o item que se segue.
Considerando-se a Lei n.º 6.754/2000, que institui o Código de Ética do Servidor Público, é correto afirmar que, diante de situações de trabalho que exijam uma decisão, o professor deve agir de modo a atender satisfatoriamente ao bem comum.
Provas
Caderno Container