Foram encontradas 100 questões.
Disciplina: Direito da Criança e do Adolescente
Banca: QUADRIX
Orgão: SEE-DF
À luz do Estatuto da Criança e do Adolescente, julgue o próximo item.
Suponha-se que um professor constate que há, em sua sala de aula, um aluno adolescente com suspeita de maus-tratos. Nessa situação, o dirigente do estabelecimento de educação deve comunicar o Conselho Tutelar.
Provas
Disciplina: Direito da Criança e do Adolescente
Banca: QUADRIX
Orgão: SEE-DF
- ECAGeralDireitos Fundamentais (art. 7º ao 69)Do Direito à Educação, à Cultura, ao Esporte e ao Lazer (Art. 53 a 59)
À luz do Estatuto da Criança e do Adolescente, julgue o próximo item.
Considere-se que, após a aplicação de uma avaliação pelo professor de matemática, o aluno adolescente não concorde com o critério avaliativo. Nesse caso, o discente poderá contestar os critérios avaliativos utilizados para a correção, assim como recorrer às instâncias escolares superiores.
Provas
Disciplina: Direito da Criança e do Adolescente
Banca: QUADRIX
Orgão: SEE-DF
À luz do Estatuto da Criança e do Adolescente, julgue o próximo item.
No Distrito Federal, exige-se que cada região administrativa tenha, no máximo, um Conselho Tutelar, composto por cinco membros, eleitos pela população local para um mandado de dois anos, permitida apenas uma recondução, após nova eleição.
Provas

Com base nesse caso hipotético, julgue o item a seguir.
O valor médio de Va é igual a zero e seu valor eficaz é igual a, aproximadamente, 7 V.
Provas

Com base nesse caso hipotético, julgue o item a seguir.
O valor médio de Vb é igual a zero e seu valor eficaz é igual a 4 V.
Provas

Com base nesse caso hipotético, julgue o item a seguir.
A frequência das três tensões é igual a 50 Hz.
Provas

Com base nesse caso hipotético, julgue o item a seguir.
A sequência de fases produzida é do tipo abc.
Provas

As tensões produzidas pelo gerador de sinal são equilibradas.
Provas
Um engenheiro foi requisitado para a construção de um filtro, utilizando apenas um circuito RL em série e uma fonte de tensão de entrada (vi ) senoidal de frequência variável, com o objetivo de que componentes de frequência acima de 50 rad/s na tensão de saída (v 0 ) fossem atenuadas. Para tanto, o engenheiro montou o circuito ilustrado na Figura 1, cujo respectivo diagrama de bode da função de transferência do circuito é apresentado na Figura 2. 
Considerando essa situação hipotética, julgue o item.
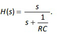
Se o indutor L fosse substituído por um capacitor C no circuito da Figura 1, o circuito passaria a se comportar como um filtro passa-altas, cuja resposta em frequência seria 
Provas
Um engenheiro foi requisitado para a construção de um filtro, utilizando apenas um circuito RL em série e uma fonte de tensão de entrada (vi ) senoidal de frequência variável, com o objetivo de que componentes de frequência acima de 50 rad/s na tensão de saída (v 0 ) fossem atenuadas. Para tanto, o engenheiro montou o circuito ilustrado na Figura 1, cujo respectivo diagrama de bode da função de transferência do circuito é apresentado na Figura 2. 
Considerando essa situação hipotética, julgue o item.
No diagrama de bode ilustrado na Figura 2, à medida que a frequência aumenta, o circuito passa a se tornar predominantemente indutivo e a vo fica atrasada em relação à vi .
Provas
Caderno Container