Foram encontradas 875 questões.
Não é possível ter acesso direto às partes mais
profundas da Terra devido às limitações tecnológicas.
Diante dessa afirmativa, considere as seguintes
proposições:
I.Quando ocorre uma movimentação na litosfera, são geradas vibrações sísmicas que se propagam em todas as direções na forma de ondas e a velocidade com que essas ondas se propagam depende da densidade do material pelo qual transpassam.
II.Quanto maior a velocidade de propagação de uma onda sísmica, menor é a densidade do material.
III.As diferentes camadas internas da Terra se devem devido às diferenças de densidade dos materiais.
É correto o que se afirma em:
I.Quando ocorre uma movimentação na litosfera, são geradas vibrações sísmicas que se propagam em todas as direções na forma de ondas e a velocidade com que essas ondas se propagam depende da densidade do material pelo qual transpassam.
II.Quanto maior a velocidade de propagação de uma onda sísmica, menor é a densidade do material.
III.As diferentes camadas internas da Terra se devem devido às diferenças de densidade dos materiais.
É correto o que se afirma em:
Provas
Questão presente nas seguintes provas
Sobre o território brasileiro, é correto afirmar que:
Provas
Questão presente nas seguintes provas
Os Domínios Morfoclimáticos e Fitogeográficos do Brasil
foram estabelecidos pelo geógrafo Aziz Ab' Saber como
sendo Amazônico, Cerrados, Mares de Morros,
Caatingas, Araucárias, Pradarias e Áreas de transição.
Quais foram os critérios utilizados por ele para agrupar
os espaços?
Provas
Questão presente nas seguintes provas
A teoria da Tectônica de Placas do início do século XX
observou que as linhas da costa atlântica da América
do Sul e da África se encaixariam e que todos os
continentes poderiam se aglutinar, formando um único
megacontinente, o PANGEA. Quais são as evidências
que comprovam esta teoria?
I.Contornos continentais que se encaixam; conjunto de estruturas geológicas e rochas semelhantes em certos continentes, mas não em outros; mesmas espécies fósseis em continentes separados por oceanos.
II.Anomalias magnéticas das rochas iguais nos dois lados da dorsal meso-oceânica; idade das rochas do fundo oceânico cada vez mais antigas a partir da dorsal meso-oceânica até próximo dos continentes.
III.Presença de terremotos por causa de grandes falhamentos nas dorsais meso-oceânicas; localização dos vulcões e sismos na fronteira das placas tectônicas.
É correto o que se afirma em:
I.Contornos continentais que se encaixam; conjunto de estruturas geológicas e rochas semelhantes em certos continentes, mas não em outros; mesmas espécies fósseis em continentes separados por oceanos.
II.Anomalias magnéticas das rochas iguais nos dois lados da dorsal meso-oceânica; idade das rochas do fundo oceânico cada vez mais antigas a partir da dorsal meso-oceânica até próximo dos continentes.
III.Presença de terremotos por causa de grandes falhamentos nas dorsais meso-oceânicas; localização dos vulcões e sismos na fronteira das placas tectônicas.
É correto o que se afirma em:
Provas
Questão presente nas seguintes provas
A respeito do Sistema Internacional de Unidades (SI),
analise os itens apresentados a seguir:
I. O SI é um sistema coerente de unidades de medidas com seis unidades base, a saber: o segundo (s) para o tempo, o metro (m) para o comprimento, o quilograma (kg) para a massa, o ampere (A) para a corrente elétrica, o kelvin (K) para a temperatura termodinâmica e a candela (cd) para a intensidade luminosa.
II. O SI é adotado pela maior parte dos países no mundo, exceto por alguns países que utilizam outros sistemas não métricos, sistemas mistos (métrico + imperial) ou onde não é possível determinar qual sistema usam de fato. Atualmente o SI é coordenado pelo Bureau Internacional de Pesos e Unidades (BIPU).
III. No SI, o metro é definido como equivalente a 1.650.763,73 comprimentos de onda de luz vermelho-alaranjada de uma transição atômica hiperfina do criptônio-86 emitida em um tubo de descarga gasosa.
IV. A candela é a unidade de intensidade luminosa padrão no Sl e sua origem histórica refere-se ao brilho de uma chama de uma vela padrão, que emitia 1 cd por definição, e era feita cera de espermacete, substância encontrada na cabeça da baleia cachalote. Atualmente, a candela é definida no SI por meio da eficácia luminosa da radiação monocromática de frequência 540 x 1012 Hz.
V. O angstrom e o bar são unidades derivadas que fazem parte do SI.
É correto o que se afirma em:
I. O SI é um sistema coerente de unidades de medidas com seis unidades base, a saber: o segundo (s) para o tempo, o metro (m) para o comprimento, o quilograma (kg) para a massa, o ampere (A) para a corrente elétrica, o kelvin (K) para a temperatura termodinâmica e a candela (cd) para a intensidade luminosa.
II. O SI é adotado pela maior parte dos países no mundo, exceto por alguns países que utilizam outros sistemas não métricos, sistemas mistos (métrico + imperial) ou onde não é possível determinar qual sistema usam de fato. Atualmente o SI é coordenado pelo Bureau Internacional de Pesos e Unidades (BIPU).
III. No SI, o metro é definido como equivalente a 1.650.763,73 comprimentos de onda de luz vermelho-alaranjada de uma transição atômica hiperfina do criptônio-86 emitida em um tubo de descarga gasosa.
IV. A candela é a unidade de intensidade luminosa padrão no Sl e sua origem histórica refere-se ao brilho de uma chama de uma vela padrão, que emitia 1 cd por definição, e era feita cera de espermacete, substância encontrada na cabeça da baleia cachalote. Atualmente, a candela é definida no SI por meio da eficácia luminosa da radiação monocromática de frequência 540 x 1012 Hz.
V. O angstrom e o bar são unidades derivadas que fazem parte do SI.
É correto o que se afirma em:
Provas
Questão presente nas seguintes provas
Por meio do experimento clássico do Anel de
Gravesande, é possível demonstrar um fenômeno físico
importante relacionado a dilatação térmica dos sólidos.
Um anel de metal e uma esfera de metal possuem
dimensões tais que a esfera pode passar com certa
dificuldade através do anel em temperatura ambiente.
Isso significa que há uma pequena tolerância
dimensional entre as peças e a folga existente é muito
pequena quando estão na mesma temperatura. Ao
aquecer a esfera, por exemplo, observa-se que ela não
consegue mais passar pelo anel.
Este fenômeno é extensamente usado na prática em sistemas mecânicos para facilitar a montagem de eixos e rolamentos em maquinas e equipamentos, pois pode-se utilizar o aquecimento de um maçarico ou o resfriamento por nitrogénio liquido para dilatar ou contrair as partes do maquinário. Assim, com base no experimento de Gravesande, assinale a alternativa correta:
Este fenômeno é extensamente usado na prática em sistemas mecânicos para facilitar a montagem de eixos e rolamentos em maquinas e equipamentos, pois pode-se utilizar o aquecimento de um maçarico ou o resfriamento por nitrogénio liquido para dilatar ou contrair as partes do maquinário. Assim, com base no experimento de Gravesande, assinale a alternativa correta:
Provas
Questão presente nas seguintes provas
Em um experimento de física, um aluno coloca uma
esfera metálica carregada positivamente próxima a uma
esfera metálica neutra, sem que haja contato entre elas.
Observa-se que a esfera neutra, inicialmente sem carga,
passa a apresentar uma separação de cargas, com a
superfície mais próxima da esfera carregada,
tornando-se negativamente carregada e a superfície
mais afastada, tornando-se positivamente carregada.
Após remover a esfera carregada, a esfera neutra volta
ao seu estado inicial de carga.
Esse fenômeno ilustra um dos processos de eletrização, que é frequentemente utilizado em dispositivos como os eletroscópios, para detectar a presença de carga elétrica.
Assinale a alternativa que corretamente identifica o processo de eletrização descrito e explica como ele ocorre:
Esse fenômeno ilustra um dos processos de eletrização, que é frequentemente utilizado em dispositivos como os eletroscópios, para detectar a presença de carga elétrica.
Assinale a alternativa que corretamente identifica o processo de eletrização descrito e explica como ele ocorre:
Provas
Questão presente nas seguintes provas
"Para uma criatura tão pequena quanto o homem,
parece que todas as massas e montanhas devem
retumbantemente responder às impressões de suas
volições, como se a maior parte de sua essência
espiritual não fosse em si própria uma coisa solidária.
Mas se alguma vez você conseguiu a solidão no mar,
então sabe o quão pequena e insignificante, e quão
inapelavelmente solidaria, e o quão eternamente
condenada, é toda a loucura do homem!" (Melville,
Herman. Moby Dick. 1851).
Assim como os marinheiros em "Moby Dick" percebem a imensidão e a solidão do mar, as baleias jubarte utilizam seus complexos cantos para se comunicarem em vastas distâncias no oceano. Esses cantos são fundamentais para a comunicação, navegação e acasalamento das baleias. No entanto, o homem, em sua loucura expansionista, por meio da navegação marítima intensiva, tem introduzido níveis significativos de poluição sonora nos oceanos, afetando a capacidade das baleias de se comunicarem eficazmente.
Considere que a frequência dos cantos das baleias varia de 20 Hz a 10 kHz e que a velocidade do som na água é de, aproximadamente, 1500 m/s. Além disso, considere os efeitos da atenuação sonora no meio aquático e a interferência das ondas de baixa frequência geradas pelos motores dos navios.
A respeito do impacto da navegação marítima sobre as baleias e os aspectos físicos da emissão do som por esses animais, assinale a alternativa correta:
Assim como os marinheiros em "Moby Dick" percebem a imensidão e a solidão do mar, as baleias jubarte utilizam seus complexos cantos para se comunicarem em vastas distâncias no oceano. Esses cantos são fundamentais para a comunicação, navegação e acasalamento das baleias. No entanto, o homem, em sua loucura expansionista, por meio da navegação marítima intensiva, tem introduzido níveis significativos de poluição sonora nos oceanos, afetando a capacidade das baleias de se comunicarem eficazmente.
Considere que a frequência dos cantos das baleias varia de 20 Hz a 10 kHz e que a velocidade do som na água é de, aproximadamente, 1500 m/s. Além disso, considere os efeitos da atenuação sonora no meio aquático e a interferência das ondas de baixa frequência geradas pelos motores dos navios.
A respeito do impacto da navegação marítima sobre as baleias e os aspectos físicos da emissão do som por esses animais, assinale a alternativa correta:
Provas
Questão presente nas seguintes provas
Dadas duas barras de metal, A e B, ligadas rigidamente,
sendo a primeira feita de alumínio com 70 cm de
comprimento a 20 ºC e a segunda de aço, apresentando
um comprimento de 30 cm na mesma temperatura. Ao
sofrer dilatação térmica por aumento da temperatura,
ambas devem aumentar seu comprimento inicial, de
modo que a barra composta tenha um comprimento final
de acordo com a soma das variações de seus
comprimentos individuais, assumindo que sofram a
mesma variação de temperatura.
Determine, a partir da tabela a seguir, qual seria o material mais indicado dentre os mostrados para substituir as duas barras por uma única C, feita de um só material que tenha o mesmo comprimento total que a barra composta independente da variação de temperatura apresentada.
Assinale a alternativa correta para o material que pode substituir a barra composta nessas condições apresentadas:
Determine, a partir da tabela a seguir, qual seria o material mais indicado dentre os mostrados para substituir as duas barras por uma única C, feita de um só material que tenha o mesmo comprimento total que a barra composta independente da variação de temperatura apresentada.
Assinale a alternativa correta para o material que pode substituir a barra composta nessas condições apresentadas:
Provas
Questão presente nas seguintes provas
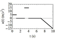
O gráfico a seguir mostra o movimento de um braço
robótico que executa um movimento linear de translação,
de modo que a sua velocidade v(t) varia no tempo t no
intervalo temporal em que ocorre. Nos sistemas
mecânicos industriais, é necessário evitar mudanças
extremas e abruptas, tanto de velocidade quanto de
aceleração, e o movimento deve ser o mais suave
possível para que as peças não sejam danificadas. Esse
aspecto aparece no gráfico hipotético mostrado pela
presença de arestas proeminentes ("cantos vivos"), que,
em um sistema físico realista, não devem ocorrer e a
função deve apresentar, de fato, um comportamento
suave, com cantos arredondados.
De acordo com o gráfico da velocidade em função do tempo, assinale a alternativa correta que mostra como deve ser o comportamento da aceleração em função do tempo para o robô nessas condições:

De acordo com o gráfico da velocidade em função do tempo, assinale a alternativa correta que mostra como deve ser o comportamento da aceleração em função do tempo para o robô nessas condições:

Provas
Questão presente nas seguintes provas
Cadernos
Caderno Container