Foram encontradas 875 questões.
Quando observamos uma vela colocada em frente a um
espelho esférico concavo, de tal maneira que ela esteja
posicionada relativamente ao espelho no eixo principal
além do centro de curvatura C do espelho, quais devem
ser as características da imagem? Assuma que a
reflexão no espelho esférico obedece a condição de
nitidez de Gauss.
Assinale a alternativa que corretamente que define as propriedades da imagem formada:
Assinale a alternativa que corretamente que define as propriedades da imagem formada:
Provas
Questão presente nas seguintes provas
Dois termômetros de mercúrio, um calibrado na escala
Celsius e outro na escala Fahrenheit, são usados para
medir a temperatura de uma amostra de agua aquecida.
Realizando a imersão dos termômetros na água,
verifica-se que há uma diferença numérica de 70
unidades entre as leituras obtidas nos dois termômetros
no equilíbrio térmico.
Assinale a alternativa correta que determina qual foi a temperatura da amostra medida em ambas as escalas:
Assinale a alternativa correta que determina qual foi a temperatura da amostra medida em ambas as escalas:
Provas
Questão presente nas seguintes provas
Considere a fervura da água em uma chaleira para
preparar uma macarronada. Sabe-se que o cozimento do
macarrão envolve hidratar e gelatinizar o amido contido
na massa. Para isso, é fundamental utilizar água quente
ou fervente. A escolha entre água aquecida e fervente
pode afetar tanto a textura final do macarrão quanto suas
características alimentícias. Quando o macarrão é
adicionado à água fervente, ele rapidamente absorve a
água, o que causa a expansão e a gelatinização dos
amidos. Este processo é rápido e eficiente, garantindo
uma textura firme, mas macia.
A fervura ocorre em duas etapas distintas: primeiro, o aquecimento da água até seu ponto de ebulição e, em seguida, a conversão da água líquida em vapor. Nesse contexto, analise as asserções a seguir e a relação proposta entre elas:
l. Durante o aquecimento da água da temperatura ambiente até 100°C, a energia térmica fornecida é utilizada para aumentar a sua temperatura.
E
Il. Simultaneamente à primeira, no processo de fervura da água a 100°C em uma chaleira, a energia térmica fornecida é utilizada para diminuir a fase da agua de liquido para vapor, sem que haja qualquer mudança na temperatura na transição.
A respeito dessas asserções, assinale a opção correta:
A fervura ocorre em duas etapas distintas: primeiro, o aquecimento da água até seu ponto de ebulição e, em seguida, a conversão da água líquida em vapor. Nesse contexto, analise as asserções a seguir e a relação proposta entre elas:
l. Durante o aquecimento da água da temperatura ambiente até 100°C, a energia térmica fornecida é utilizada para aumentar a sua temperatura.
E
Il. Simultaneamente à primeira, no processo de fervura da água a 100°C em uma chaleira, a energia térmica fornecida é utilizada para diminuir a fase da agua de liquido para vapor, sem que haja qualquer mudança na temperatura na transição.
A respeito dessas asserções, assinale a opção correta:
Provas
Questão presente nas seguintes provas
Um menino brincando com pequenas pedras, ao fazer malabarismos, lança uma delas verticalmente para cima a
uma velocidade de 3 m/s. Logo em seguida, após um segundo de intervalo, lança uma segunda pedra também para
cima, com uma velocidade maior igual a 7 m/s. Assuma que o menino lança ambas as pedras a partir de uma altura
de 80 cm em relação ao solo. Use g = 9,8 m/s² e desconsidere a resistência do ar na ascensão e queda das pedras.
De acordo com este contexto, analise os itens apresentados a seguir:
I. O tempo de subida da segunda pedra até a altura máxima é igual a 0,93 segundos.
II. A diferença entre as alturas máximas alcançadas pelas pedras é, aproximadamente, 2 metros.
III. O intervalo de tempo transcorrido entre os retornos das pedras ao solo é igual a 12 segundos.
É correto o que se afirma em:
De acordo com este contexto, analise os itens apresentados a seguir:
I. O tempo de subida da segunda pedra até a altura máxima é igual a 0,93 segundos.
II. A diferença entre as alturas máximas alcançadas pelas pedras é, aproximadamente, 2 metros.
III. O intervalo de tempo transcorrido entre os retornos das pedras ao solo é igual a 12 segundos.
É correto o que se afirma em:
Provas
Questão presente nas seguintes provas
Durante uma operação de resgate e salvamento em uma enchente de grandes proporções, muitas famílias ficaram
ilhadas no alto de suas casas aguardando o socorro chegar. Nos locais de difícil acesso, foi necessário o uso de
drones para entregar suprimentos e/ou medicamentos aos afetados pela cheia.
Considere, então, um drone que desloca-se na horizontal, a uma velocidade constante de 54 km/h que precisa lançar um kit de primeiros socorros para as pessoas em emergência médica sobre uma casa. O drone não pode se aproximar diretamente sobre a casa por causa de uma fiação elétrica próxima e apenas pode lançar a carga a partir de uma distância horizontal de 45 m, usando sua própria velocidade para lançar o projétil horizontalmente. As pessoas precisam ser resgatadas em breve porque estão a apenas 0,9 m acima do nível da água da enchente.
Assinale a alternativa correta que estabelece qual deve ser a altura h do drone em relação ao nível da água para que o lançamento seja possível e a carga alcance as pessoas devidamente no ponto X. Use g = 9,8 m/s².
Considere, então, um drone que desloca-se na horizontal, a uma velocidade constante de 54 km/h que precisa lançar um kit de primeiros socorros para as pessoas em emergência médica sobre uma casa. O drone não pode se aproximar diretamente sobre a casa por causa de uma fiação elétrica próxima e apenas pode lançar a carga a partir de uma distância horizontal de 45 m, usando sua própria velocidade para lançar o projétil horizontalmente. As pessoas precisam ser resgatadas em breve porque estão a apenas 0,9 m acima do nível da água da enchente.
Assinale a alternativa correta que estabelece qual deve ser a altura h do drone em relação ao nível da água para que o lançamento seja possível e a carga alcance as pessoas devidamente no ponto X. Use g = 9,8 m/s².
Provas
Questão presente nas seguintes provas
Durante um conflito internacional, a cidade de Taipei, em Taiwan, está sob ataque da China. Uma sirene de alerta
nuclear soa continuamente no centro da cidade a uma frequência de 700 Hz para avisar os habitantes do iminente
perigo. Um motoqueiro que está fazendo entregas, ao ouvir a sirene, decide fugir rapidamente na direção oposta à
fonte do som para se proteger em algum abrigo. Considere a velocidade do som no ar como 340 m/s, assinale a
alternativa correta para a velocidade de fuga do motoqueiro se ele ouve a sirene com uma frequência percebida de
650 Hz. Neste caso, deve-se assumir que a velocidade da moto é mantida constante ao afastar-se da fonte fixa:
Provas
Questão presente nas seguintes provas
Considere dois blocos de madeira, A e B, de 5 kg e 2 kg respectivamente, dispostos nas superfícies inclinadas em 30°
e 60° como é mostrado na imagem a seguir. Os blocos estão conectados entre si por um cabo sem massa e
inextensível, o qual passa pela polia ideal C e a massa menor está ligada à mola. Considerando a ação vertical da
gravidade (assuma g = 9,8 m/s²) atuando nesse sistema mecânico e que, para esticar a mola em apenas um
milímetro é necessária uma força de 0,3 N atuando em suas extremidades, analise as afirmações a seguir. Marque V,
para verdadeiras, e F, para falsas:
( ) A mola deve ser comprimida em, aproximadamente, 25 mm.
( ) A mola deve ser esticada em, aproximadamente, 25 mm.
( ) A força resultante da ação dos ramos do cabo no suporte C deve ser, aproximadamente, 48 N.
( ) A força resultante da ação dos ramos do cabo no suporte C deve ser, aproximadamente, 24 N.
( ) Ao considerar a ação da força de atrito em todas as superfícies de contato, observa-se que a deformação da mola deve ser maior em dez vezes.
Assinale a alternativa que apresenta a sequência correta:
( ) A mola deve ser comprimida em, aproximadamente, 25 mm.
( ) A mola deve ser esticada em, aproximadamente, 25 mm.
( ) A força resultante da ação dos ramos do cabo no suporte C deve ser, aproximadamente, 48 N.
( ) A força resultante da ação dos ramos do cabo no suporte C deve ser, aproximadamente, 24 N.
( ) Ao considerar a ação da força de atrito em todas as superfícies de contato, observa-se que a deformação da mola deve ser maior em dez vezes.
Assinale a alternativa que apresenta a sequência correta:
Provas
Questão presente nas seguintes provas
- EletromagnetismoElétricaCircuitos Elétricos Especiais: Leis de Kirchhoff e Ponte de Wheatstone
- EletromagnetismoElétricaEletricidade
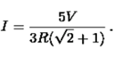
No circuito mostrado a seguir, ao conectar a bateria de tensão V a uma malha infinita de resistores, sendo todos de
mesmo valor R, qual será a leitura de corrente total I no amperímetro do circuito?


Provas
Questão presente nas seguintes provas
Durante a preparação das performances musicais de grandes compositores da música clássica, como Johannes
Brahms e Franz Liszt, afinadores de piano profissionais serviam-se de fenômenos acústicos para garantir que os
instrumentos produzissem sons harmoniosos e agradáveis aos espectadores. A combinação de diferentes notas
tocadas ou cantadas simultaneamente corresponde fisicamente à superposição de perturbações acústicas no ar cujo
resultado depende tanto dos instrumentos em si, quanto das condições geométricas e de ocupação da sala de
concertos.
Os afinadores de piano escutavam cuidadosamente os sons emitidos enquanto ajustavam a tensão das cordas do piano até que a modulação de amplitude diminuísse e, eventualmente, desaparecesse, indicando que as cordas estavam em perfeita afinação.
Nesse contexto, analise as asserções a seguir e a relação proposta entre elas:
I. A interferência de duas ondas sonoras de frequências ligeiramente diferentes emitidas na percussão de cordas do piano resulta em um fenômeno conhecido como batimento.
PORQUE
II. A interferência construtiva e destrutiva alternada das ondas sonoras resulta em variações periódicas na amplitude da onda resultante, que são percebidas como variações de intensidade sonora.
A respeito dessas asserções, assinale a opção correta:
Os afinadores de piano escutavam cuidadosamente os sons emitidos enquanto ajustavam a tensão das cordas do piano até que a modulação de amplitude diminuísse e, eventualmente, desaparecesse, indicando que as cordas estavam em perfeita afinação.
Nesse contexto, analise as asserções a seguir e a relação proposta entre elas:
I. A interferência de duas ondas sonoras de frequências ligeiramente diferentes emitidas na percussão de cordas do piano resulta em um fenômeno conhecido como batimento.
PORQUE
II. A interferência construtiva e destrutiva alternada das ondas sonoras resulta em variações periódicas na amplitude da onda resultante, que são percebidas como variações de intensidade sonora.
A respeito dessas asserções, assinale a opção correta:
Provas
Questão presente nas seguintes provas
Considere um anel de prata no fundo de uma piscina com 2 m de profundidade. A água da piscina é limpa e possui
um índice de refração de 1,33. Um observador está olhando para o anel a partir da borda da piscina. Com base nas
propriedades da refração da luz e no índice de refração da água, assinale a alternativa que descreve corretamente a
posição aparente do anel quando observado da superfície da água:
Provas
Questão presente nas seguintes provas
Cadernos
Caderno Container