Foram encontradas 875 questões.
Para conectar as resistências elétricas de aquecimento em uma prensa de madeira, foram utilizados três tipos de fios
resistivos de diferentes bitolas e composições. A primeira resistência foi construída usando 200 m de um fio de
Níquel-Cromo (liga Ni-Cr) e diâmetro de 0,1 mm. A segunda resistência foi feita a partir de 100 m de um fio de
Constantan (liga Cu-Ni-Mn-Fe) e diâmetro de 0,05 mm. Por fim, a terceira resistência foi enrolada utilizando 50 m de
fio de Kanthal® (liga Fe-Cr-Al) de diâmetro igual a 0,05 mm.
A segunda e a terceira resistências são ligadas em paralelo entre si e este conjunto é conectado em série com a primeira resistência para ser alimentado em corrente contínua.
Se circuito elétrico de aquecimento for ligado a uma fonte de tensão de 130 V, qual será a corrente elétrica total necessária para alimentá-lo?
Dados de resistividade dos materiais (20°C):
Níquel-Cromo -> 1,10 × 10⁻⁶ Ω·m
Constantan -> 5,0 × 10⁻⁷ Ω·m
Kanthal -> 1,50 × 10⁻⁶ Ω·m
A segunda e a terceira resistências são ligadas em paralelo entre si e este conjunto é conectado em série com a primeira resistência para ser alimentado em corrente contínua.
Se circuito elétrico de aquecimento for ligado a uma fonte de tensão de 130 V, qual será a corrente elétrica total necessária para alimentá-lo?
Dados de resistividade dos materiais (20°C):
Níquel-Cromo -> 1,10 × 10⁻⁶ Ω·m
Constantan -> 5,0 × 10⁻⁷ Ω·m
Kanthal -> 1,50 × 10⁻⁶ Ω·m
Provas
Questão presente nas seguintes provas
A respeito do fenômeno da refração da luz, assinale a alternativa correta:
Provas
Questão presente nas seguintes provas
O gráfico a seguir representa a quantidade de calor absorvida por dois corpos, A e B, de massas iguais em função da
temperatura:
De acordo com o comportamento mostrado, pode-se afirmar que a razão entre os calores específicos dos corpo B em relação ao corpo A é:
De acordo com o comportamento mostrado, pode-se afirmar que a razão entre os calores específicos dos corpo B em relação ao corpo A é:
Provas
Questão presente nas seguintes provas
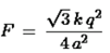
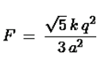
Sejam quatro corpos muito pequenos eletrizados posicionados relativamente entre si, formando um losango de lado
a, como é mostrado na figura a seguir. Ao considerar os corpos carregados como cargas aproximadamente
puntiformes, temos que a interação entre estas será por meio da força eletrostática coulombiana. Todas as cargas
apresentam o mesmo módulo q, mas possuem sinais diferentes, sendo duas delas positivas e as outras duas, negativas. Nessas condições, para o arranjo geométrico mostrado, assinale a alternativa correta que especifica o
módulo da força eletrostática total F que atua na carga posicionada no vértice superior P do losango devido à
atração e repulsão que sofre das demais cargas. Considere na solução do problema que a constante eletrostática é
representada pela letra k:


Provas
Questão presente nas seguintes provas
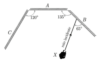
Em uma loja de departamentos que vende peças de vestuário, foram montados três espelhos A, B e C em diferentes
ângulos, como mostra a figura a seguir (vista superior dos espelhos). O espelho B está girado em um ângulo de 135°
com o espelho A quando se olha de cima. Já o espelho C apresenta um ângulo de 120° em relação ao espelho A.
Quando uma pessoa X observa sua aparência em frente ao espelho B, um dos raios de luz refletida pelo seu corpo do
ambiente iluminado atinge a superfície de B (raio incidente). Este raio incidente está inclinado em relação à linha do
espelho B por um ângulo de 65°, como indicado. De acordo com as sucessivas reflexões deste raio luminoso
incidente nos espelhos, qual será o ângulo do raio refletido pelo último espelho C em relação à linha do espelho A?
Assinale a alternativa que especifica o ângulo de saída correto do raio de luz.


Provas
Questão presente nas seguintes provas
Considere as afirmativas relacionadas ao comportamento do campo elétrico de uma carga puntiforme apresentadas
a seguir. Registre V, para verdadeiras, e F, para falsas:
( ) O módulo do campo elétrico de uma carga puntiforme decresce em intensidade e direção, inversamente ao aumento da distância quadraticamente.
( ) O campo elétrico da carga puntiforme pode ser decomposto em uma componente radial e outra azimutal, a partir da qual é possível também definir seu campo magnético dipolar.
( ) O campo elétrico da carga puntiforme pode ser decomposto em uma componente azimutal e outra radial, a partir da qual é possível também definir seu campo magnético dipolar.
( ) A caracterização de uma carga elétrica como puntiforme determina que esta não possui subestrutura.
Assinale a alternativa que apresenta a sequência correta:
( ) O módulo do campo elétrico de uma carga puntiforme decresce em intensidade e direção, inversamente ao aumento da distância quadraticamente.
( ) O campo elétrico da carga puntiforme pode ser decomposto em uma componente radial e outra azimutal, a partir da qual é possível também definir seu campo magnético dipolar.
( ) O campo elétrico da carga puntiforme pode ser decomposto em uma componente azimutal e outra radial, a partir da qual é possível também definir seu campo magnético dipolar.
( ) A caracterização de uma carga elétrica como puntiforme determina que esta não possui subestrutura.
Assinale a alternativa que apresenta a sequência correta:
Provas
Questão presente nas seguintes provas
Considere as afirmativas relacionadas ao deslocamento, à velocidade e à aceleração apresentadas a seguir. Registre
V, para verdadeiras, e F, para falsas:
( ) A velocidade instantânea de um objeto é sempre igual à sua velocidade média em um intervalo de tempo finito.
( ) Um objeto em movimento retilíneo uniformemente variado (MRUV) possui aceleração constante e diferente de zero.
( ) Se a aceleração de um objeto é constante e ele inicia o movimento do repouso, o gráfico de velocidade versus tempo será uma reta inclinada e o gráfico de deslocamento versus tempo será uma parábola.
( ) A variação temporal da aceleração de um móvel diverge quando a velocidade varia continuamente.
( ) O módulo da velocidade alterna a direção do movimento quando há aceleração constante.
Assinale a alternativa com a sequência correta:
( ) A velocidade instantânea de um objeto é sempre igual à sua velocidade média em um intervalo de tempo finito.
( ) Um objeto em movimento retilíneo uniformemente variado (MRUV) possui aceleração constante e diferente de zero.
( ) Se a aceleração de um objeto é constante e ele inicia o movimento do repouso, o gráfico de velocidade versus tempo será uma reta inclinada e o gráfico de deslocamento versus tempo será uma parábola.
( ) A variação temporal da aceleração de um móvel diverge quando a velocidade varia continuamente.
( ) O módulo da velocidade alterna a direção do movimento quando há aceleração constante.
Assinale a alternativa com a sequência correta:
Provas
Questão presente nas seguintes provas
A temperatura mais alta já registrada na superfície terrestre foi medida na localidade de Furnace Creek, no Vale da
Morte na Califórnia, onde em 10 de julho de 1913, a temperatura alcançou 56,7°C. A partir do conhecimento deste
recorde, considere a sua medição relativamente nas diferentes escalas termométricas Celsius (°C), Fahrenheit (°F) e
Kelvin (K). Sobre a relação entre essas escalas, assinale a alternativa correta:
Provas
Questão presente nas seguintes provas
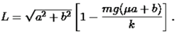
Considere: um bloco de massa m, o qual é mantido encostado em uma parede vertical pela ação elástica de uma
mola ideal de constante elástica k sem escorregar devido ao seu peso. Entre a superfície da parede e do bloco, há
atrito, que é caracterizado pelo coeficiente de atrito μ para esta interface.
Como mostra a figura a seguir, as distâncias horizontal e vertical do extremo superior de fixação da mola até o centro do bloco são a e b, respectivamente. Dessa maneira, para fixar o bloco e mantê-lo em equilíbrio de forças, qual o comprimento da mola (L) antes de ser esticada?

Como mostra a figura a seguir, as distâncias horizontal e vertical do extremo superior de fixação da mola até o centro do bloco são a e b, respectivamente. Dessa maneira, para fixar o bloco e mantê-lo em equilíbrio de forças, qual o comprimento da mola (L) antes de ser esticada?

Provas
Questão presente nas seguintes provas
Sabe-se da física que os fenômenos ondulatórios abrangem uma variedade de comportamentos das ondas em
diferentes meios, incluindo sua reflexão, refração, difração e interferência. Muitos desses fenômenos apresentam
aplicações práticas significantes em nosso cotidiano, desde o funcionamento de um simples rádio até a produção de
imagens por ressonância magnética ou mesmo para desenvolver computadores quânticos. Nesse contexto, associe a
segunda coluna de acordo com a primeira, que relaciona os diferentes tipos de ondas com suas características e
propriedades físicas de propagação:
Primeira coluna: Tipo de onda
1. Onda longitudinal
2. Onda transversal em cordas
3. Onda de superfície
4. Onda estacionária
5. Onda eletromagnética
Segunda coluna: Propriedades e propagação
( ) Onda que se forma na interface entre dois meios, como ar e água.
( ) As partículas do meio oscilam paralelamente à direção de propagação da onda.
( ) Podem se propagar no vácuo e transportam energia sem necessitar de um meio material.
( ) Formam-se nós e ventres fixos no espaço devido à interferência de ondas.
( ) A velocidade da onda depende da tensão e da densidade linear do meio.
Assinale a alternativa que apresenta a correta associação entre as colunas:
Primeira coluna: Tipo de onda
1. Onda longitudinal
2. Onda transversal em cordas
3. Onda de superfície
4. Onda estacionária
5. Onda eletromagnética
Segunda coluna: Propriedades e propagação
( ) Onda que se forma na interface entre dois meios, como ar e água.
( ) As partículas do meio oscilam paralelamente à direção de propagação da onda.
( ) Podem se propagar no vácuo e transportam energia sem necessitar de um meio material.
( ) Formam-se nós e ventres fixos no espaço devido à interferência de ondas.
( ) A velocidade da onda depende da tensão e da densidade linear do meio.
Assinale a alternativa que apresenta a correta associação entre as colunas:
Provas
Questão presente nas seguintes provas
Cadernos
Caderno Container