Foram encontradas 50 questões.

Sorteando-se ao acaso uma das 120 pessoas pesquisadas, a probabilidade de que ela tenha respondido na pesquisa que já teve dengue é igual a
Provas
Boris Hessen foi o primeiro cientista a apresentar uma visão materialista sobre o desenvolvimento da ciência, sendo bastante questionado e até ridicularizado quando assim o fez. Em 1931, o cientista soviético apresentou seu trabalho "As Raízes Sociais e Econômicas dos Principia de Newton" no II Congresso Internacional de História das Ciências, em Londres. Ao final de sua tese, ele afirmou que na época em que Newton formulou e formalizou as leis da mecânica (século XVIII):
“Havia necessidade de meios de comunicação convenientes, uma medida de tempo mais exata – especialmente devido ao contínuo aumento do ritmo das transações −, e de métodos exatos para contabilidade e medida (...) Comparando os principais problemas técnicos com os temas que dominavam a física desse período, chegamos à conclusão de que esses temas eram determinados principalmente pelas tarefas econômicas e técnicas que interessavam à nascente burguesia.”
(HESSEN, B. “As raízes sociais e econômicas dos Principia de Newton”. Revista de Ensino de Física, v. 6, n. 1, p. 37-55, 1984)
A ideia central de sua tese é que o desenvolvimento científico
Provas
Provas
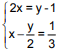
no plano cartesiano é dada porProvas
Observe a sequência de imagens indicadas abaixo.

A sequência de imagens está sendo usada para ilustrar o fato de que
Provas

Provas

Provas
É fundamental permanecer atento no combate à dengue, mas determinadas épocas do ano merecem ainda mais atenção. O gráfico a seguir mostra o número de casos de dengue ocorridos na Bahia entre os anos de 2002 e 2010 em função das semanas epidemiológicas. Por convenção internacional, semanas epidemiológicas são contadas de domingo a sábado, sendo que a primeira semana epidemiológica do ano é aquela que contém o maior número de dias do novo ano.

A partir da análise do gráfico, é correto afirmar que os meses mais críticos para as notificações de dengue na Bahia entre os anos de 2002 e 2010, foram:
Provas
Considere o texto e a figura abaixo.
No século XVII, Galileu Galilei inaugura a Ciência Moderna estabelecendo uma nova linguagem de acesso ao conhecimento da natureza:
A filosofia é escrita neste enorme livro que temos continuamente aberto diante de nossos olhos (quero dizer, o universo), mas não é possível compreendê-lo, se primeiro não se compreende sua língua e os caracteres nos quais está escrito. Ele está escrito em língua matemática, e os caracteres são triângulos, círculos, e outras figuras geométricas, sem recurso às quais é impossível compreender dela uma palavra; sem isso, perdemo-nos inutilmente em um obscuro labirinto.
(GALILEI, Galileu. O ensaiador. 1a edição: 1623. Trad. Vinicius Figueiredo et alii. Edição de referência: Il Saggiatore. Coleção Ricciardi [org. F. Flora] 1953, cap. VI, pp. 16-17)
A imagem abaixo apresenta um exemplo que ilustra a relação estabelecida, no Renascimento, por Galileu, entre a matemática e a natureza.

Tal relação continua até hoje movendo biólogos, físicos, matemáticos e químicos, na construção de um entendimento acerca da natureza, no que se refere à sua
Provas
Observe e analise o infográfico abaixo:

De acordo com os dados apresentados no infográfico é correto concluir que, nessa avaliação em questão,
Provas
Caderno Container