Foram encontradas 398 questões.

“Uma lenda diz que as cigarras cantam até estourar, depois morrem.”
Segundo o texto essa lenda:
Provas

Algumas cigarras são consideradas pragas pelos agricultores pois:
Provas

Leia as afirmativas e marque a alternativa correta de acordo com o texto:
I.No início da primavera as cigarras aparecem.
II.As cigarras sinalizam o fim das chuvas.
III.A fêmea canta para atrair o macho.
Provas

Segundo o texto, para que as cigarras cantam?
Provas
Mariana faz doces para festas de aniversário. Para fazer 37 brigadeiros, ela gasta uma lata de leite condensado que custa R$ 2,10 e 1/3 de uma lata de achocolatado em pó que custa R$ 4,50 a lata. Ela recebeu uma encomenda de 222 brigadeiros. Quanto ela gastará par comprar os ingredientes?
Provas
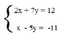
Resolva o sistema abaixo e marque a resposta correta.

Provas
Provas
Disciplina: Matemática Financeira
Banca: REIS & REIS
Orgão: Pref. Varginha-MG
Joana faz roupas de festa para vender. Um vestido tem o preço de custo de R$ 80,00 e ela irá vender por R$ 120,00. Qual a taxa percentual de lucro sobre o preço de custo do vestido?
Provas
Faça a correlação, identificando as figuras de linguagem e depois marque a opção correta, respectivamente:
1. Metáfora
2. Antítese
3. Ironia
4. Hipérbole
( ) “Chorou rios de lágrimas”
( ) “É um excelente goleiro... Só deixou que marcassem oito gols.”
( ) “Uns buscam o bem; outros buscam o mal.”
( ) “Minha vida é um palco iluminado.”
Provas
- LegislaçãoLei 9.394/1996: Lei de Diretrizes e Bases da Educação Nacional
- Temas Educacionais Pedagógicos
Os Parâmetros Curriculares Nacionais indicam como objetivos do ensino fundamental que os alunos sejam capazes de, exceto:
Provas
Caderno Container