Magna Concursos

Foram encontradas 180 questões.

2711790 Ano: 2023
Disciplina: Matemática Financeira
Banca: UniRV
Orgão: Pref. Rio Verde-GO
Helena aplicou R$ 4.300,00 a juros simples a uma taxa mensal de 1,5%. Um ano e meio após o início da aplicação, efetuou o resgate de todo o valor e realizou uma nova aplicação, agora em regime de juros composto a uma taxa de 1,2% ao mês por um período de 2 anos. Ao longo do período das duas aplicações, Helena conseguiu um rendimento aproximado de: Considere 1,01224 ≈ 1,33
 

Provas

Questão presente nas seguintes provas
2711789 Ano: 2023
Disciplina: Matemática
Banca: UniRV
Orgão: Pref. Rio Verde-GO

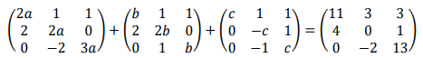
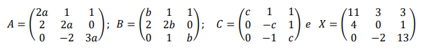
Considere as matrizes a seguir

Enunciado 3397004-1

Representando a equação matricial A + B + C = X abaixo

Enunciado 3397004-2

Os valores de a, b e c que satisfazem a equação proposta devem ser:

 

Provas

Questão presente nas seguintes provas
2711788 Ano: 2023
Disciplina: Matemática
Banca: UniRV
Orgão: Pref. Rio Verde-GO

Pedro Augusto está muito interessado na compra de uma parte de um terreno vizinho ao seu. O valor do metro quadrado do terreno desejado por ele é de R$ 1.500,00. O terreno ofertado tem um formato retangular, comprimento de 8 metros e sabe-se que o ângulo da base formado entre a base e a diagonal é de 30 graus. Para adquirir esse pedaço de terreno, Pedro Augusto precisará de: Considere: sen 30 º = 0,50; cos 30º = 0,87 e tg 30º = 0,58

 

Provas

Questão presente nas seguintes provas
2711787 Ano: 2023
Disciplina: Matemática
Banca: UniRV
Orgão: Pref. Rio Verde-GO

Otávio Rodrigues, produtor de grãos, tem em sua fazenda um tanque de combustível para abastecer o maquinário utilizado na lavoura. Esse tanque tem formato cilíndrico com diâmetro base e altura medindo respectivamente 2,4 metros e 5 metros. Se no momento o tanque está com combustível ocupando apenas 25% de sua capacidade, podemos afirmar que há no tanque:

Considere: π = 3,14 e 1m3 = 1.000 l

 

Provas

Questão presente nas seguintes provas
2711786 Ano: 2023
Disciplina: Matemática
Banca: UniRV
Orgão: Pref. Rio Verde-GO
No dia 05 de setembro de 2020 no GP da Itália, Lewis Hamilton foi pole com a volta mais rápida de todos os tempos na Fórmula 1 com um impressionante tempo de 1m 18s e 887ms. O hexacampeão mundial quebrou o recorde de Monza e estabeleceu a maior média horária já registrada numa volta, com 264,362 km/h.
https://ge.globo.com/motor/formula-1/noticia/gp-da-italia-lewis-hamilton-e-pole-com-a-volta-mais-rapida-de-todos-ostempos-na-formula-1.ghtml
Com base nas informações acima, se são necessários 1m 18s e 887ms para completar uma volta, é correto afirmar que o tempo total necessário para completar 30 voltas é de: Considere: 1ms = 0,001s
 

Provas

Questão presente nas seguintes provas
2711785 Ano: 2023
Disciplina: Português
Banca: UniRV
Orgão: Pref. Rio Verde-GO
Assinale a alternativa em que o a deve receber acento indicativo de crase:
 

Provas

Questão presente nas seguintes provas
2711784 Ano: 2023
Disciplina: Português
Banca: UniRV
Orgão: Pref. Rio Verde-GO
As Maravilhas da Fazenda Paraíso

No terreiro rústico da Fazenda Paraíso, nos anos da minha adolescência, era certa e esperada aquela comunicação anual. [...] Vinha dos campos e da mangueira um cheiro fecundo de vegetais e de apojo, mugidos intercalados da vacada, que à tarde mansamente descia dos pastos, procurando a frente da fazenda. O terreiro rústico participava desses encantamentos. Naquela comunhão sagrada e rotineira, a gente se sentia feliz e nem se lembrava de que não havia nenhum dinheiro na casa. Pela manhã, muito cedo, meu avô ia verificar o moinho de fubá de milho, o rendimento da noite. O velho e pesado monjolo subia e descia compassado, escachoando água do cocho, cavado no madeirame pesado e bruto. [...] E partia das mangueiras e abacateiros frondosos o arrulho gemido da juriti. Às sete horas, vinha para cima da grande mesa familiar, rodeada de bancos pesados e rudes, a grande panela de mucilagem, mingau de fubá canjica, fino e adocicado, cozido no leite ainda morno do curral. [...] Comia-se com vontade e comida tão boa como aquela nunca houve em parte alguma. O arroz, fumaçando numa travessa imensa de louça antiga, rescendia a pimenta de cheiro. O frango ensopado em molho de açafrão e cebolinha verde, e mais coentro e salsa. O feijão saboroso, a couve com torresmos, enfarinhada ou rasgadinha à mineira, mandioca adocicada e farinha, ainda quentinha da torrada. Comia-se à moda velha. Repetia-se o bocado, rapava-se o prato. Depois, o quintal, os engenhos, o goiabal, os cajueiros, o rego-d’água. Tínhamos ali o nosso Universo. Vivia-se na Paz de Deus. Eram essas coisas na Fazenda Paraíso. E como todo paraíso, só valeu depois de perdido.
CORALINA, Cora. Melhores Poemas: Cora Coralina; seleção Darcy França Denófrio. São Paulo: Global, 2017.
Nesse poema de Cora Coralina, nota-se que o leitor é naturalmente levado a deleitar-se no universo poético idílico, cujos versos representam a ativação da memória, utilizando formas imagéticas e linguísticas que evidenciam lembranças carregadas de afetividade, simplicidade e nostalgia. Assim, a figura de linguagem empregada como recurso expressivo, na construção estético-literária do poema, é:
 

Provas

Questão presente nas seguintes provas
2711783 Ano: 2023
Disciplina: Português
Banca: UniRV
Orgão: Pref. Rio Verde-GO
A ESCOLA AINDA TEM LUGAR PARA A FORMAÇÃO DE LEITORES COMPETENTES?
Ai que prazer
Não cumprir um dever,
Ter um livro para ler
E não o fazer!
Ler é maçada.
Estudar é nada.
O sol doira sem literatura.
O rio corre, bem ou mal,
Sem edição original.
(Fernando Pessoa)
A epígrafe deste texto, um fragmento do poema "Liberdade", incluído na obra Cancioneiro de Fernando Pessoa, certamente daria aos adolescentes de hoje muito pano para manga. Visto assim, fora de seu contexto poético, descolado do conjunto da produção do grande poeta português, poderia facilmente confundir-se com a voz de um estudante, confirmando a imagem de que estudar, ler e conhecer literatura são coisas sem sabor, ligadas ao universo da obrigação, distantes dos prazeres encontrados na natureza e (por que não?) na vida. Mas poderia, também, dependendo do que o professor faz com esse conjunto de versos, de como os faz chegar aos alunos, funcionar como elo entre as gerações "pós-modernas", sua forma de sentir e se relacionar com o mundo, e essa fala viva que vem do passado, inteiramente impregnada do presente. [...]
Penso que esta é a motivação do trabalho que William Cereja vem desenvolvendo há anos. Cada um de seus livros revela a busca incessante de caminhos capazes de despertar o leitor adormecido em cada estudante, de confrontá-lo com as linguagens que o cercam, de impulsioná-lo para a condição de sujeito crítico. Entretanto, como autor participante e em permanente contato com professores e alunos, William vivencia uma realidade brutal: os alunos estão cada vez mais despreparados para ler, apesar do empenho representado pelas diretrizes curriculares, pelas normas institucionais, pelas escolas e pelos incansáveis professores.
Esta constatação pode parecer desanimadora, uma vez que o despreparo dos estudantes revela-se não apenas diante do texto literário, mas diante de qualquer tipo de texto, como confirmam diferentes pesquisas. Foi ela, entretanto, que motivou William a esboçar mais um gesto em direção à leitura e aos leitores.
[...]
O trabalho que está diante do leitor, portanto, é obra de um autor múltiplo, sujeito do ensino, da pesquisa e da proposição de consistentes alternativas. [...]
Se terminasse aí, o trabalho não seria assinado por William Cereja e sua visão crítica e participativa. A proposta de implementar o que ele denomina "perspectiva dialógica do texto literário" parece, sem dúvida, uma saída possível para que a escola se afirme (re-afirme?) como um lugar de formação de leitores competentes para o texto e para a vida.
[...]
BRAIT, Beth. A escola ainda tem lugar para a formação de leitores competentes? Prefácio. In: –––. CEREJA, William Roberto. Ensino de literatura: uma proposta dialógica para o trabalho com literatura. São Paulo: Atual, 2005.
De acordo com o texto, a tríade: organização curricular, papel da escola e trabalho docente representa um contexto possível, no entanto:
 

Provas

Questão presente nas seguintes provas
2711782 Ano: 2023
Disciplina: Português
Banca: UniRV
Orgão: Pref. Rio Verde-GO
A ESCOLA AINDA TEM LUGAR PARA A FORMAÇÃO DE LEITORES COMPETENTES?
Ai que prazer
Não cumprir um dever,
Ter um livro para ler
E não o fazer!
Ler é maçada.
Estudar é nada.
O sol doira sem literatura.
O rio corre, bem ou mal,
Sem edição original.
(Fernando Pessoa)
A epígrafe deste texto, um fragmento do poema "Liberdade", incluído na obra Cancioneiro de Fernando Pessoa, certamente daria aos adolescentes de hoje muito pano para manga. Visto assim, fora de seu contexto poético, descolado do conjunto da produção do grande poeta português, poderia facilmente confundir-se com a voz de um estudante, confirmando a imagem de que estudar, ler e conhecer literatura são coisas sem sabor, ligadas ao universo da obrigação, distantes dos prazeres encontrados na natureza e (por que não?) na vida. Mas poderia, também, dependendo do que o professor faz com esse conjunto de versos, de como os faz chegar aos alunos, funcionar como elo entre as gerações "pós-modernas", sua forma de sentir e se relacionar com o mundo, e essa fala viva que vem do passado, inteiramente impregnada do presente. [...]
Penso que esta é a motivação do trabalho que William Cereja vem desenvolvendo há anos. Cada um de seus livros revela a busca incessante de caminhos capazes de despertar o leitor adormecido em cada estudante, de confrontá-lo com as linguagens que o cercam, de impulsioná-lo para a condição de sujeito crítico. Entretanto, como autor participante e em permanente contato com professores e alunos, William vivencia uma realidade brutal: os alunos estão cada vez mais despreparados para ler, apesar do empenho representado pelas diretrizes curriculares, pelas normas institucionais, pelas escolas e pelos incansáveis professores.
Esta constatação pode parecer desanimadora, uma vez que o despreparo dos estudantes revela-se não apenas diante do texto literário, mas diante de qualquer tipo de texto, como confirmam diferentes pesquisas. Foi ela, entretanto, que motivou William a esboçar mais um gesto em direção à leitura e aos leitores.
[...]
O trabalho que está diante do leitor, portanto, é obra de um autor múltiplo, sujeito do ensino, da pesquisa e da proposição de consistentes alternativas. [...]
Se terminasse aí, o trabalho não seria assinado por William Cereja e sua visão crítica e participativa. A proposta de implementar o que ele denomina "perspectiva dialógica do texto literário" parece, sem dúvida, uma saída possível para que a escola se afirme (re-afirme?) como um lugar de formação de leitores competentes para o texto e para a vida.
[...]
BRAIT, Beth. A escola ainda tem lugar para a formação de leitores competentes? Prefácio. In: –––. CEREJA, William Roberto. Ensino de literatura: uma proposta dialógica para o trabalho com literatura. São Paulo: Atual, 2005.
Com relação às construções discursivas evidenciadas pela autora Beth Brait, é correto afirmar que:
 

Provas

Questão presente nas seguintes provas
2711781 Ano: 2023
Disciplina: Português
Banca: UniRV
Orgão: Pref. Rio Verde-GO
Hoje não escrevo
Chega um dia de falta de assunto. Ou, mais propriamente, de falta de apetite para os milhares de assuntos. Escrever é triste. Impede a conjugação de tantos outros verbos. Os dedos sobre o teclado, as letras se reunindo com maior ou menor velocidade, mas com igual indiferença pelo que vão dizendo, enquanto lá fora a vida estoura não só em bombas como também em dádivas de toda natureza, inclusive a simples claridade da hora, vedada a você, que está de olho na maquininha. O mundo deixa de ser realidade quente para se reduzir a marginália, purê de palavras, reflexos no espelho (infiel) do dicionário. O que você perde em viver, escrevinhando sobre a vida. Não apenas o sol, mas tudo que ele ilumina. [...] E então vem o tédio. De Senhor dos Assuntos, passar a espectador enfastiado de espetáculo. Tantos fatos simultâneos e entrechocantes, o absurdo promovido a regra de jogo, excesso de vibração, dificuldade em abranger a cena com o simples par de olhos e uma fatigada atenção. Tudo se repete na linha do imprevisto, pois ao imprevisto sucede outro, num mecanismo de monotonia explosiva. Na hora ingrata de escrever, como optar entre as variedades de insólito? E que dizer, que não seja invalidado pelo acontecimento de logo mais, ou de agora mesmo? [...] Entretanto, aí está você, casmurro e indisposto para a tarefa de encher o papel de sinaizinhos pretos. [...]
Disponível em: <https://www.blogderocha.com.br/hoje-nao-escrevo-carlos-drummond-de-andrade/>. Acesso em: 25 mar. 2023.
Carlos Drummond de Andrade, nome indispensável para a história da Literatura Brasileira, é autor do texto “Hoje não escrevo”, que se configura como sendo:
 

Provas

Questão presente nas seguintes provas