Magna Concursos

Foram encontradas 180 questões.

2711800 Ano: 2023
Disciplina: Matemática
Banca: UniRV
Orgão: Pref. Rio Verde-GO

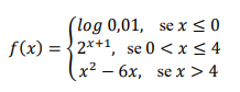
A função f (x) está estabelecida dentro das condições a seguir:

Enunciado 3397039-1

Com base nas condições da função f (x) , temos que:

I. f (2) + 3 f (−1) = 2 ( )

II. f (−3) + f (0) − f (5) = 1 ( )

III. f (−2) ∙ f (1) ∙ f (6) = 0 ( )

Classificando as sentenças acima em verdadeiro ou falso, temos a seguinte sequência:

 

Provas

Questão presente nas seguintes provas
2711799 Ano: 2023
Disciplina: Matemática
Banca: UniRV
Orgão: Pref. Rio Verde-GO
No mês de janeiro, é hora de desmontar a árvore de Natal e guardá-la com muito cuidado para o próximo ano. Ana Cláudia, para guardar as bolas de natal, conseguiu um caixa em forma de paralelepípedo, de dimensões 70 cm, 50 cm e 30 cm, que deve ser ocupada por bolas de 18 cm de diâmetro cada. Considerando π = 3, o volume da caixa é aproximadamente quantas vezes maior do que o volume de uma bola de natal?
 

Provas

Questão presente nas seguintes provas
2711798 Ano: 2023
Disciplina: Matemática
Banca: UniRV
Orgão: Pref. Rio Verde-GO

As sentenças a seguir, apresentam os conceitos matemáticos relativos ao estudo de Probabilidades.

I. P(A ∩ B) = P(A) ∙ P(B) para eventos independentes

II. P(A ∪ B) = P(A) + P(B) − P(A ∩ B) para união de eventos

III. P(A ∩ B) ≠ 0 para eventos mutuamente excludentes

IV. A probabilidade de um evento é igual ao número total de resultados divididos pelo número de resultados favoráveis.

É correto afirmar que são verdadeiras as sentenças:

 

Provas

Questão presente nas seguintes provas
2711797 Ano: 2023
Disciplina: Estatística
Banca: UniRV
Orgão: Pref. Rio Verde-GO
Os dados do quadro a seguir, referem-se ao número de atendimentos realizados por uma empresa de vendas de artigos esportivos pela internet durante 25 dias. Enunciado 3397036-1

De acordo com os dados da tabela, pode-se afirmar que a média diária de atendimentos e a moda são, respectivamente:
 

Provas

Questão presente nas seguintes provas
2711796 Ano: 2023
Disciplina: Matemática
Banca: UniRV
Orgão: Pref. Rio Verde-GO
Ao avaliar as causas da proliferação de um determinado tipo de carrapato, um pesquisador identificou, nas costas de um cachorro, a presença de carrapatos que, de forma devastadora, afetam a saúde do animal. O pesquisador conseguiu elucidar que o número n de carrapatos encontrados pode ser estimado pela relação 10n ≥ 18162. O número n mínimo aproximado de carrapatos encontrado nas costas do cachorro em questão é de: Considere log 2 = 0,30 e log 3 = 0,48
 

Provas

Questão presente nas seguintes provas
2711795 Ano: 2023
Disciplina: Matemática Financeira
Banca: UniRV
Orgão: Pref. Rio Verde-GO
De acordo com uma pesquisa realizada pelo Serviço Brasileiro de Apoio às Micro e Pequenas Empresas (Sebrae), 11% da população brasileira já foi vítima de golpes de pirâmide financeira, com 62% dos investidores nunca mais recuperando seu dinheiro. A prática, considerada criminosa por lei, surge com a promessa de rendimento fácil e com um retorno muito superior ao investimento inicial, quando na verdade é apenas uma justificativa para roubar recursos de milhares de pessoas que buscam renda extra. Um jovem empreendedor está captando investidores para sua empresa com a seguinte proposta: invista R$ 20.000,00 e seu dinheiro duplicará mensalmente. Se isso for verdade, considerando que essa sequência mensal de duplicação do capital é uma progressão geométrica crescente, quanto terá daqui a 12 meses uma pessoa que aplicar R$ 20.000,00?
 

Provas

Questão presente nas seguintes provas
2711794 Ano: 2023
Disciplina: Matemática
Banca: UniRV
Orgão: Pref. Rio Verde-GO

Considerando as sentenças a seguir:

I. (a + b) 3 − (a − b) 3 = 6a2b + 2b 3

II. (a + b) 2 + (a + b) ∙ (a − b) = 2a 2 + 2ab − b 2

III. 2 ∙ (p + k) 2 − (p − k) 2 = 3p 2 − 2pk − 3k 2

IV. (x + 2) 3 + (x − 2) 3 = 2x 3 + 24x

 

Provas

Questão presente nas seguintes provas
2711793 Ano: 2023
Disciplina: Matemática
Banca: UniRV
Orgão: Pref. Rio Verde-GO
Para tratar de questões relativas à paz mundial, a Organização das Nações Unidas (ONU) propôs a formação de uma comissão constituída de quatro países que serão escolhidos do G-8 (O G-8 é uma sigla que denomina os oito países mais ricos e influentes do mundo). Entretanto, nesse grupo, incluem-se Rússia e EUA, que atualmente estão com as relações diplomáticas estremecidas. Dessa forma, para que a comissão seja mais produtiva, decidiu-se que Rússia e EUA, juntos, não deveriam participar da comissão a ser formada. Considerando essa situação, de quantas maneiras distintas se pode formar essa comissão proposta pela ONU?
 

Provas

Questão presente nas seguintes provas
2711792 Ano: 2023
Disciplina: Raciocínio Lógico
Banca: UniRV
Orgão: Pref. Rio Verde-GO

Em uma usina de etanol, uma máquina colhedora de cana, alcança uma produtividade de 150 toneladas em um mês, com uma jornada de trabalho diária de 6 horas. No entanto, com o aumento da demanda por etanol em certas épocas do ano e de uma nova campanha de marketing, o número de encomendas por etanol cresceu de forma acentuada, aumentando a demanda para 200 toneladas. Buscando atender essa nova demanda, a empresa adquiriu mais duas máquinas colhedoras e ajustou para 8 horas por dia o tempo de atividade das máquinas. Qual deve ser a quantidade de dias para que a empresa consiga atender a nova demanda?

 

Provas

Questão presente nas seguintes provas
2711791 Ano: 2023
Disciplina: Matemática
Banca: UniRV
Orgão: Pref. Rio Verde-GO

Considere as sentenças a seguir.

I. A expressão an = a1 + (n + 1) ∙ r, ∀ n ∈ N, representa o termo geral de uma Progressão Aritmética (PA).

II. A sequência (5, 10, 15, 28, 33,38) é uma progressão aritmética de razão 5.

III. A expressão an = a1. q n−1 ,∀ n ∈ N , representa o termo geral de uma Progressão Geométrica (PG).

Assinale a alternativa correta:

 

Provas

Questão presente nas seguintes provas