Foram encontradas 177 questões.
A prova do tempo
Uma polêmica suposição, sustentada desde 1978 pelo arqueólogo francês Bernard Vandermeersch, acaba de ser confirmada por uma técnica de última geração. Ele vinha dizendo que o homem de Neandertal, hominídeo cujo primeiro fóssil foi encontrado há 132 anos no vale do rio Neander, na Alemanha, era contemporâneo do Homo sapiens sapiens, o homem moderno. Isso contraria a hipótese tradicionalmente aceita de que este teria surgido depois daquele. Segundo o cientista, o homem do vale de Neander teria se originado na Europa há cerca de 350 mil anos, desaparecendo por razões ainda desconhecidas há 42 mil anos. Já o homem moderno teria surgido no Oriente Próximo numa época em que os neandertais ainda viviam.
A teoria foi comprovada recentemente graças ao método da termoluminescência, que permite saber quando um mineral foi manipulado para a confecção de instrumentos. Identificando-se, por exemplo, quando uma pedra foi lascada para fazer-se uma ponta de lança, pode-se saber a idade do fóssil encontrado no mesmo local. Ao fim dos estudos, os pesquisadores concluíram que o homem moderno é mais antigo do que se pensava, tendo surgido há 94 mil anos. As duas espécies, portanto, teriam coexistido no planeta por 500 séculos, pelo menos. Resta saber se foram apresentados uns aos outros alguma vez.
(Fonte: Superinteressante — adaptado.)
Provas
Questão presente nas seguintes provas
A prova do tempo
Uma polêmica suposição, sustentada desde 1978 pelo arqueólogo francês Bernard Vandermeersch, acaba de ser confirmada por uma técnica de última geração. Ele vinha dizendo que o homem de Neandertal, hominídeo cujo primeiro fóssil foi encontrado há 132 anos no vale do rio Neander, na Alemanha, era contemporâneo do Homo sapiens sapiens, o homem moderno. Isso contraria a hipótese tradicionalmente aceita de que este teria surgido depois daquele. Segundo o cientista, o homem do vale de Neander teria se originado na Europa há cerca de 350 mil anos, desaparecendo por razões ainda desconhecidas há 42 mil anos. Já o homem moderno teria surgido no Oriente Próximo numa época em que os neandertais ainda viviam.
A teoria foi comprovada recentemente graças ao método da termoluminescência, que permite saber quando um mineral foi manipulado para a confecção de instrumentos. Identificando-se, por exemplo, quando uma pedra foi lascada para fazer-se uma ponta de lança, pode-se saber a idade do fóssil encontrado no mesmo local. Ao fim dos estudos, os pesquisadores concluíram que o homem moderno é mais antigo do que se pensava, tendo surgido há 94 mil anos. As duas espécies, portanto, teriam coexistido no planeta por 500 séculos, pelo menos. Resta saber se foram apresentados uns aos outros alguma vez.
(Fonte: Superinteressante — adaptado.)
Provas
Questão presente nas seguintes provas
A prova do tempo
Uma polêmica suposição, sustentada desde 1978 pelo arqueólogo francês Bernard Vandermeersch, acaba de ser confirmada por uma técnica de última geração. Ele vinha dizendo que o homem de Neandertal, hominídeo cujo primeiro fóssil foi encontrado há 132 anos no vale do rio Neander, na Alemanha, era contemporâneo do Homo sapiens sapiens, o homem moderno. Isso contraria a hipótese tradicionalmente aceita de que este teria surgido depois daquele. Segundo o cientista, o homem do vale de Neander teria se originado na Europa há cerca de 350 mil anos, desaparecendo por razões ainda desconhecidas há 42 mil anos. Já o homem moderno teria surgido no Oriente Próximo numa época em que os neandertais ainda viviam.
A teoria foi comprovada recentemente graças ao método da termoluminescência, que permite saber quando um mineral foi manipulado para a confecção de instrumentos. Identificando-se, por exemplo, quando uma pedra foi lascada para fazer-se uma ponta de lança, pode-se saber a idade do fóssil encontrado no mesmo local. Ao fim dos estudos, os pesquisadores concluíram que o homem moderno é mais antigo do que se pensava, tendo surgido há 94 mil anos. As duas espécies, portanto, teriam coexistido no planeta por 500 séculos, pelo menos. Resta saber se foram apresentados uns aos outros alguma vez.
(Fonte: Superinteressante — adaptado.)
Os pronomes sublinhados retomam, respectivamente, as palavras:
Provas
Questão presente nas seguintes provas
A prova do tempo
Uma polêmica suposição, sustentada desde 1978 pelo arqueólogo francês Bernard Vandermeersch, acaba de ser confirmada por uma técnica de última geração. Ele vinha dizendo que o homem de Neandertal, hominídeo cujo primeiro fóssil foi encontrado há 132 anos no vale do rio Neander, na Alemanha, era contemporâneo do Homo sapiens sapiens, o homem moderno. Isso contraria a hipótese tradicionalmente aceita de que este teria surgido depois daquele. Segundo o cientista, o homem do vale de Neander teria se originado na Europa há cerca de 350 mil anos, desaparecendo por razões ainda desconhecidas há 42 mil anos. Já o homem moderno teria surgido no Oriente Próximo numa época em que os neandertais ainda viviam.
A teoria foi comprovada recentemente graças ao método da termoluminescência, que permite saber quando um mineral foi manipulado para a confecção de instrumentos. Identificando-se, por exemplo, quando uma pedra foi lascada para fazer-se uma ponta de lança, pode-se saber a idade do fóssil encontrado no mesmo local. Ao fim dos estudos, os pesquisadores concluíram que o homem moderno é mais antigo do que se pensava, tendo surgido há 94 mil anos. As duas espécies, portanto, teriam coexistido no planeta por 500 séculos, pelo menos. Resta saber se foram apresentados uns aos outros alguma vez.
(Fonte: Superinteressante — adaptado.)
I. De acordo com Bernard Vandermeersch, o homem de Neandertal originou-se na Europa há cerca de 350 mil anos.
II. O arqueólogo francês tinha certeza de suas ideias, até poder comprová-las nos dias atuais.
III. Bernard Vandermeersch descobriu que as duas espécies de hominídeos conviveram juntas por 500 séculos.
Está(ão) CORRETO(S):
Provas
Questão presente nas seguintes provas
Em relação ao ciclo de vida das plantas, assinalar a alternativa CORRETA:
Provas
Questão presente nas seguintes provas
Para causar doença, a maioria dos patógenos deve obter acesso ao hospedeiro, aderir-se aos tecidos, penetrar ou escapar das defesas e danificar os tecidos do hospedeiro. Entretanto, alguns microrganismos não causam doença pelo dano direto aos tecidos do hospedeiro. Em vez disso, a doença ocorre em decorrência do acúmulo de excretas microbianas. A respeito do assunto, analisar os itens abaixo:
I. Alguns microrganismos podem ter acesso ao corpo através de aberturas na pele, como folículos pilosos e ductos sudoríparos.
II. Outros microrganismos podem ter acesso ao corpo quando são depositados diretamente nos tecidos sob a pele ou nas membranas mucosas, quando essas barreiras são penetradas ou danificadas.
III. A montagem do capsídeo proteico constitui o primeiro passo no processo de maturação viral. Essa montagem, em geral, é um processo espontâneo.
Está(ão) CORRETO(S):
I. Alguns microrganismos podem ter acesso ao corpo através de aberturas na pele, como folículos pilosos e ductos sudoríparos.
II. Outros microrganismos podem ter acesso ao corpo quando são depositados diretamente nos tecidos sob a pele ou nas membranas mucosas, quando essas barreiras são penetradas ou danificadas.
III. A montagem do capsídeo proteico constitui o primeiro passo no processo de maturação viral. Essa montagem, em geral, é um processo espontâneo.
Está(ão) CORRETO(S):
Provas
Questão presente nas seguintes provas
Na Terra, o peso de um objeto é igual a 250N, e a intensidade gravitacional é igual a 10N/kg. Se, em Marte, a intensidade gravitacional é igual 3,7N/kg, qual a alternativa que corresponde ao peso, em N, desse objeto em Marte?
Provas
Questão presente nas seguintes provas
Assinalar a alternativa que corresponda ao processo termodinâmico em que não há troca de calor entre o sistema e a sua vizinhança:
Provas
Questão presente nas seguintes provas
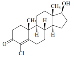
O clostebol é um esteroide anabolizante fraco usado na cicatrização de cortes e ferimentos. Sua fórmula estrutural é apresentada na figura a seguir. Qual a fórmula molecular do clostebol?


Provas
Questão presente nas seguintes provas
Os rins fazem o trabalho vital do sistema urinário. As outras partes do sistema são essencialmente vias de passagem e locais de armazenamento temporário. Os rins ajudam a manter a homeostasia de todo o corpo, executando as seguintes funções:
I. Regulação dos níveis de íons no sangue. Os rins ajudam a regular os níveis sanguíneos de vários íons, principalmente os íons sódio (Na+), potássio (K+), cálcio (Ca2+), cloreto (Cl-) e fosfato (HPO4-2).
II. Regulação do pH sanguíneo. Os rins ajudam a regular a concentração de íons H+ no sangue ao excretar uma quantidade variável de H+ na urina. Além disso, conservam no sangue os íons bicarbonato (HCO3-), um importante tampão de H+. Ambas as atividades ajudam a regular o pH sanguíneo.
III. Produção de hormônios. Os rins produzem dois hormônios: o calcitriol, a forma ativa da vitamina D, ajuda a regular a homeostasia do cálcio; e a eritropoietina estimula a produção de eritrócitos.
Está(ão) CORRETO(S):
I. Regulação dos níveis de íons no sangue. Os rins ajudam a regular os níveis sanguíneos de vários íons, principalmente os íons sódio (Na+), potássio (K+), cálcio (Ca2+), cloreto (Cl-) e fosfato (HPO4-2).
II. Regulação do pH sanguíneo. Os rins ajudam a regular a concentração de íons H+ no sangue ao excretar uma quantidade variável de H+ na urina. Além disso, conservam no sangue os íons bicarbonato (HCO3-), um importante tampão de H+. Ambas as atividades ajudam a regular o pH sanguíneo.
III. Produção de hormônios. Os rins produzem dois hormônios: o calcitriol, a forma ativa da vitamina D, ajuda a regular a homeostasia do cálcio; e a eritropoietina estimula a produção de eritrócitos.
Está(ão) CORRETO(S):
Provas
Questão presente nas seguintes provas
Cadernos
Caderno Container