Foram encontradas 40 questões.
Provas
Provas
Provas
Provas
Provas
Considere a figura abaixo, onde são representados, fora de escala, um trapézio e um retângulo.

O valor de x tal que os dois polígonos possuam a mesma área é um valor compreendido entre
Provas
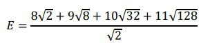
Considere o número real E tal que

Então, o valor de E, feitas as devidas operações e simplificações, corresponde a
Provas
Provas
Leia o texto abaixo para responder à questão.
Cresce número de brasileiros que acessam internet pela TV
O celular é o principal meio de acesso dos brasileiros à internet. Entre 2016 e 2017, o porcentual de pessoas que utilizavam o dispositivo para entrar na rede subiu de 94,6% para 97%, segundo pesquisa divulgada nesta quinta-feira 20 pelo Instituto Brasileiro de Geografia e Estatística (IBGE).
A presença do celular aumentou nos lares brasileiros de 92,6% para 93,2%. No período, a proporção de casas com telefone fixo caiu de 33,6% para 31,5%.
Um dos destaques verificados pela pesquisa foi o aumento do uso de TVs para entrar no mundo digital: atualmente, 16,3% dos brasileiros se conectam à internet a partir do equipamento, um avanço de 5% em relação a 2016.
Já os computadores registraram uma queda de uso, segundo o IBGE. Em 2016, 63,7% dos brasileiros utilizavam o equipamento para acessar a internet. No ano seguinte, o porcentual caiu para 56,6%.
O IBGE também registrou uma alta no número de domicílios com acesso à internet. Em 2017, 74,9% dos lares brasileiros tinham acesso ao recurso. No ano anterior, eram 69,3%. Entre as pessoas que não acessaram a internet no período da pesquisa, a falta de interesse (34,9%) foi a principal justificativa entre moradores de áreas rurais e urbanas.
Em um ano, o número de usuários de internet no Brasil cresceu em mais de 10 milhões de pessoas. Em 2016, 116,1 milhões podiam conectar-se. O número foi para 126,3 milhões em 2017. Hoje, 69,8% da população brasileira tem acesso à internet.
O grupo de idosos foi o que mais registrou aumento percentual de novos usuários. Entre 2016 e 2017, o número foi de 24,7% para 31,1%. Mesmo assim, jovens da faixa etária de 20 a 24 anos são os que mais têm acesso à internet (88,4%).
Atividades online
O que é que as pessoas tanto fazem na internet? A comunicação por aplicativos parece ser a principal motivação. De acordo com a pesquisa, a maioria dos usuários (95,5%) diz que “enviar ou receber mensagens de texto, voz ou imagens por aplicativos diferentes de e-mail” é sua principal atividade no mundo digital. A modalidade que apresentou maior aumento foi a de “conversar por chamada de voz ou vídeo”, que passou de 73,3% para 83,8% entre 2016 e 2017.
As pessoas também estão usando cada vez mais a internet para “assistir a vídeos, inclusive programas, séries e filmes”, de acordo com o IBGE. No período da pesquisa, o percentual saltou de 76,4% para 81,8%. No lado oposto, enviar e receber e-mails foi a única atividade mapeada pelo IBGE que apresentou um recuo entre 2016 (69,3%) e 2017 (66,1%).
A internet banda larga fixa está presente em 82,9% dos lares brasileiros, e a banda larga móvel em 78,3%. A parcela da população que usa conexão discada é mínima, de 0,6% em 2017.
Nos lares brasileiros com aparelhos de televisão, 79,8% tinham conversor (integrado ou adaptado) para receber o sinal digital de televisão aberta. A parcela dos que não tinham nenhuma condição de acesso ao sinal digital (conversor, antena parabólica ou televisão por assinatura) caiu de 10,3% (2016) para 6,2% (2017).
(Revista Veja. 20.12.2018. Adaptado).
Provas
Leia o texto abaixo para responder à questão.
Cresce número de brasileiros que acessam internet pela TV
O celular é o principal meio de acesso dos brasileiros à internet. Entre 2016 e 2017, o porcentual de pessoas que utilizavam o dispositivo para entrar na rede subiu de 94,6% para 97%, segundo pesquisa divulgada nesta quinta-feira 20 pelo Instituto Brasileiro de Geografia e Estatística (IBGE).
A presença do celular aumentou nos lares brasileiros de 92,6% para 93,2%. No período, a proporção de casas com telefone fixo caiu de 33,6% para 31,5%.
Um dos destaques verificados pela pesquisa foi o aumento do uso de TVs para entrar no mundo digital: atualmente, 16,3% dos brasileiros se conectam à internet a partir do equipamento, um avanço de 5% em relação a 2016.
Já os computadores registraram uma queda de uso, segundo o IBGE. Em 2016, 63,7% dos brasileiros utilizavam o equipamento para acessar a internet. No ano seguinte, o porcentual caiu para 56,6%.
O IBGE também registrou uma alta no número de domicílios com acesso à internet. Em 2017, 74,9% dos lares brasileiros tinham acesso ao recurso. No ano anterior, eram 69,3%. Entre as pessoas que não acessaram a internet no período da pesquisa, a falta de interesse (34,9%) foi a principal justificativa entre moradores de áreas rurais e urbanas.
Em um ano, o número de usuários de internet no Brasil cresceu em mais de 10 milhões de pessoas. Em 2016, 116,1 milhões podiam conectar-se. O número foi para 126,3 milhões em 2017. Hoje, 69,8% da população brasileira tem acesso à internet.
O grupo de idosos foi o que mais registrou aumento percentual de novos usuários. Entre 2016 e 2017, o número foi de 24,7% para 31,1%. Mesmo assim, jovens da faixa etária de 20 a 24 anos são os que mais têm acesso à internet (88,4%).
Atividades online
O que é que as pessoas tanto fazem na internet? A comunicação por aplicativos parece ser a principal motivação. De acordo com a pesquisa, a maioria dos usuários (95,5%) diz que “enviar ou receber mensagens de texto, voz ou imagens por aplicativos diferentes de e-mail” é sua principal atividade no mundo digital. A modalidade que apresentou maior aumento foi a de “conversar por chamada de voz ou vídeo”, que passou de 73,3% para 83,8% entre 2016 e 2017.
As pessoas também estão usando cada vez mais a internet para “assistir a vídeos, inclusive programas, séries e filmes”, de acordo com o IBGE. No período da pesquisa, o percentual saltou de 76,4% para 81,8%. No lado oposto, enviar e receber e-mails foi a única atividade mapeada pelo IBGE que apresentou um recuo entre 2016 (69,3%) e 2017 (66,1%).
A internet banda larga fixa está presente em 82,9% dos lares brasileiros, e a banda larga móvel em 78,3%. A parcela da população que usa conexão discada é mínima, de 0,6% em 2017.
Nos lares brasileiros com aparelhos de televisão, 79,8% tinham conversor (integrado ou adaptado) para receber o sinal digital de televisão aberta. A parcela dos que não tinham nenhuma condição de acesso ao sinal digital (conversor, antena parabólica ou televisão por assinatura) caiu de 10,3% (2016) para 6,2% (2017).
(Revista Veja. 20.12.2018. Adaptado).
Provas
Caderno Container