Magna Concursos

Foram encontradas 1.070 questões.

3103762 Ano: 2024
Disciplina: Matemática
Banca: FURB
Orgão: Pref. Guabiruba-SC
Provas:
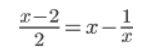
Sejam m e n as raízes da equação

Enunciado 3477423-1


Pode-se afirmar que o número mais próximo de 2·m·n − 5 (m + n) é:
 

Provas

Questão presente nas seguintes provas
3103761 Ano: 2024
Disciplina: Matemática
Banca: FURB
Orgão: Pref. Guabiruba-SC
Provas:

Considerando um triângulo retângulo ABC, no qual o ângulo em A mede 30º, o ângulo em B mede 90º e a hipotenusa mede 7 cm, pode-se afirmar que a medida do segmento

Enunciado 3477422-1

mede, em cm:

 

Provas

Questão presente nas seguintes provas
3103760 Ano: 2024
Disciplina: Matemática
Banca: FURB
Orgão: Pref. Guabiruba-SC
Provas:
Uma equipe foi constituída para representar uma escola em um evento. Um décimo da equipe é formada pelos administradores da escola; um quarto da equipe é formada por professores dos Anos Iniciais; dois quintos da equipe é formada por professores dos Anos Finais e o restante por 25 professores do Ensino Médio. Sabendo que 30% dessa equipe é formada por homens, o restante da equipe, que são mulheres, é igual a:
 

Provas

Questão presente nas seguintes provas
3103759 Ano: 2024
Disciplina: Matemática
Banca: FURB
Orgão: Pref. Guabiruba-SC
Provas:
Ana decide treinar corrida. No primeiro dia, ela mantém um ritmo constante de corrida por 2 km; no segundo dia por 2,5 km; no terceiro dia por 3 km. E ela continua aumentando a distância percorrida nesse treino de corrida, no padrão observado nesses três primeiros dias. Pode-se afirmar que a distância percorrida no 30º dia de treino será, em km, de:
 

Provas

Questão presente nas seguintes provas
3103758 Ano: 2024
Disciplina: Matemática
Banca: FURB
Orgão: Pref. Guabiruba-SC
Provas:
A quantidade vendida de certo produto teve um aumento de 25% no mês de fevereiro em relação ao mês de janeiro e um aumento de 30% em março em relação ao mês de fevereiro. Sabendo que o total vendido desse produto no mês de março foi de 2925 unidades, pode-se afirmar que o aumento de vendas no mês de fevereiro, em relação a janeiro foi, em unidades, de:
 

Provas

Questão presente nas seguintes provas
3103757 Ano: 2024
Disciplina: Matemática
Banca: FURB
Orgão: Pref. Guabiruba-SC
Provas:
Para vistoriar 300 equipamentos, são necessários 5 funcionários trabalhando 8 horas por dia, durante 3 dias. Considerando que todos os funcionários tenham o mesmo ritmo de trabalho, pode-se afirmar que essa mesma quantidade de equipamentos seria vistoriada em 6 dias, por 3 funcionários, se eles trabalhassem diariamente:
 

Provas

Questão presente nas seguintes provas
3103756 Ano: 2024
Disciplina: Português
Banca: FURB
Orgão: Pref. Guabiruba-SC
Provas:
O texto seguinte servirá de base para responder à questão.


Brasil se prepara para produzir combustível sustentável de aviação

No fim de 2023, um Boeing 787 da companhia aérea britânica Virgin Atlantic voou de Londres a Nova York movido 100% a combustível sustentável. O primeiro voo transatlântico de uma grande aeronave comercial a não usar uma gota sequer do querosene de aviação de base fóssil ganhou manchetes e foi chamado de histórico. Segundo a empresa, o combustível alternativo feito à base de óleo de cozinha usado e gordura animal, misturado a 12% de querosene aromático sintético − de origem não fóssil −, proporcionou uma redução de até 70% nas emissões de gases de efeito estufa (GEE), em comparação com um voo no mesmo trecho usando querosene de aviação tradicional.
Para fazer o voo de demonstração, a Virgin Atlantic obteve uma autorização especial. Hoje, as companhias aéreas podem misturar em seus tanques um máximo de 50% de combustível sustentável de aviação, mais conhecido pela sigla SAF (sustainable aviation fuel), seguindo normas estabelecidas pela Sociedade Americana de Testes e Materiais (ASTM) e pela Agência Nacional do Petróleo, Gás Natural e Biocombustíveis (ANP).
O SAF pode ser obtido a partir de diferentes rotas tecnológicas e com matérias-primas que vão de oleaginosas a etanol e resíduos sólidos urbanos. Em comum, todos os insumos têm carbono, que é o principal percursor dos hidrocarbonetos constituintes do SAF. A ideia é que os aviões sejam abastecidos com querosene de aviação ou SAF − ou uma mistura dos dois. Isso porque a molécula de SAF é praticamente idêntica à do querosene de base fóssil, o que dispensa modificações nos motores dos aviões e na infraestrutura de abastecimento.
A restrição a uma mistura de SAF superior a 50% se dá por questões de segurança. "Nem todas as rotas de SAF produzem na sua composição uma quantidade suficiente de hidrocarbonetos do tipo aromático, importantes para impedir uma mudança na viscosidade do combustível ou o congelamento do líquido em grandes altitudes", explica o engenheiro mecânico Fernando Catalano, diretor da Escola de Engenharia de São Carlos da Universidade de São Paulo (Eesc-USP).
O querosene fóssil é uma mistura de hidrocarbonetos de vários tipos e leva em geral entre 10% e 25% de aromáticos, considerados poluentes, mas necessários. "É um problema ainda não resolvido, mas que deverá ser superado com o tempo", diz Catalano, destacando outros dois entraves para o emprego de SAF em ampla escala no momento: a produção global, ainda muito pequena ante a demanda, e o custo, estimado entre três e cinco vezes o do querosene de aviação.
A brasileira Embraer também tem realizado ensaios com SAF em seus aviões. Em junho de 2022, um jato comercial E195-E2 da companhia voou com 100% do biocombustível em um de seus dois motores. Mais recentemente, em outubro de 2023, dois jatos executivos da fabricante de São José dos Campos decolaram em um voo de teste apenas com o combustível sustentável de aviação em seus tanques.
O SAF é a grande aposta do setor aéreo para reduzir de forma mais rápida a sua pegada de carbono. Os estados-membros da Organização da Aviação Civil Internacional (Oaci) aprovaram em 2022 uma meta global de zerar as emissões de carbono do setor até 2050. No final de 2023, em uma reunião nos Emirados Árabes Unidos, os estados-membros se comprometeram a reduzir as emissões de CO2 da aviação internacional em 5% até 2030.
Em 2023, foram produzidos mais de 600 milhões de litros de SAF, o dobro do ano anterior, de acordo com a Associação Internacional de Transportes Aéreos (Iata). A produção deve triplicar este ano. Apesar do aumento, esse volume representará apenas 0,53% da demanda global por combustível de aviação. Estados Unidos, China, Japão, Singapura, Alemanha, Noruega e México já fabricam o insumo.
Em uma indústria global que ainda engatinha, o Brasil tem uma oportunidade de se colocar como ator central, vislumbram especialistas − seja pela experiência do país com a produção de biocombustíveis, seja pela quantidade de biomassa disponível para a fabricação de SAF. "Se há um lugar no mundo em que a produção em larga escala de SAF vai dar certo, é no Brasil", pressupõe a bioquímica Glaucia Mendes Souza, do Instituto de Química da USP e membro da coordenação do Programa FAPESP de Pesquisa em Bionergia (Bioen).
Retirado e adaptado de: JONES, Frances. Brasil se prepara para produzir combustível sustentável de aviação. Revista Pesquisa FAPESP. Disponível em: https://revistapesquisa.fapesp.br/brasil-se-prepara-paraproduzir-combustivel-sustentavel-de-aviacao/ Acesso em: 26 fev., 2024.

A seguir, são apresentadas características de diferentes gêneros textuais. Analise-as com atenção:

I. São utilizados para compartilhar informações, pesquisas e dados de cunho científico.

II. Pertence ao domínio jornalístico e tem como finalidade o relato de fatos e acontecimentos, tendo como referencial a realidade.

III. Trata-se de um tipo de texto dissertativo-argumentativo no qual o autor apresenta seu ponto de vista sobre determinado tema.

IV. Apresentam uma linguagem explicativa, didática e, por isso, mais abrangente, distinguindo-se, portanto, da linguagem especializada característica de textos estritamente acadêmicos.

É característica do gênero textual ao qual pertence "Brasil se prepara para produzir combustível sustentável de aviação":

 

Provas

Questão presente nas seguintes provas
3103755 Ano: 2024
Disciplina: Português
Banca: FURB
Orgão: Pref. Guabiruba-SC
Provas:
O texto seguinte servirá de base para responder à questão.


Brasil se prepara para produzir combustível sustentável de aviação

No fim de 2023, um Boeing 787 da companhia aérea britânica Virgin Atlantic voou de Londres a Nova York movido 100% a combustível sustentável. O primeiro voo transatlântico de uma grande aeronave comercial a não usar uma gota sequer do querosene de aviação de base fóssil ganhou manchetes e foi chamado de histórico. Segundo a empresa, o combustível alternativo feito à base de óleo de cozinha usado e gordura animal, misturado a 12% de querosene aromático sintético − de origem não fóssil −, proporcionou uma redução de até 70% nas emissões de gases de efeito estufa (GEE), em comparação com um voo no mesmo trecho usando querosene de aviação tradicional.
Para fazer o voo de demonstração, a Virgin Atlantic obteve uma autorização especial. Hoje, as companhias aéreas podem misturar em seus tanques um máximo de 50% de combustível sustentável de aviação, mais conhecido pela sigla SAF (sustainable aviation fuel), seguindo normas estabelecidas pela Sociedade Americana de Testes e Materiais (ASTM) e pela Agência Nacional do Petróleo, Gás Natural e Biocombustíveis (ANP).
O SAF pode ser obtido a partir de diferentes rotas tecnológicas e com matérias-primas que vão de oleaginosas a etanol e resíduos sólidos urbanos. Em comum, todos os insumos têm carbono, que é o principal percursor dos hidrocarbonetos constituintes do SAF. A ideia é que os aviões sejam abastecidos com querosene de aviação ou SAF − ou uma mistura dos dois. Isso porque a molécula de SAF é praticamente idêntica à do querosene de base fóssil, o que dispensa modificações nos motores dos aviões e na infraestrutura de abastecimento.
A restrição a uma mistura de SAF superior a 50% se dá por questões de segurança. "Nem todas as rotas de SAF produzem na sua composição uma quantidade suficiente de hidrocarbonetos do tipo aromático, importantes para impedir uma mudança na viscosidade do combustível ou o congelamento do líquido em grandes altitudes", explica o engenheiro mecânico Fernando Catalano, diretor da Escola de Engenharia de São Carlos da Universidade de São Paulo (Eesc-USP).
O querosene fóssil é uma mistura de hidrocarbonetos de vários tipos e leva em geral entre 10% e 25% de aromáticos, considerados poluentes, mas necessários. "É um problema ainda não resolvido, mas que deverá ser superado com o tempo", diz Catalano, destacando outros dois entraves para o emprego de SAF em ampla escala no momento: a produção global, ainda muito pequena ante a demanda, e o custo, estimado entre três e cinco vezes o do querosene de aviação.
A brasileira Embraer também tem realizado ensaios com SAF em seus aviões. Em junho de 2022, um jato comercial E195-E2 da companhia voou com 100% do biocombustível em um de seus dois motores. Mais recentemente, em outubro de 2023, dois jatos executivos da fabricante de São José dos Campos decolaram em um voo de teste apenas com o combustível sustentável de aviação em seus tanques.
O SAF é a grande aposta do setor aéreo para reduzir de forma mais rápida a sua pegada de carbono. Os estados-membros da Organização da Aviação Civil Internacional (Oaci) aprovaram em 2022 uma meta global de zerar as emissões de carbono do setor até 2050. No final de 2023, em uma reunião nos Emirados Árabes Unidos, os estados-membros se comprometeram a reduzir as emissões de CO2 da aviação internacional em 5% até 2030.
Em 2023, foram produzidos mais de 600 milhões de litros de SAF, o dobro do ano anterior, de acordo com a Associação Internacional de Transportes Aéreos (Iata). A produção deve triplicar este ano. Apesar do aumento, esse volume representará apenas 0,53% da demanda global por combustível de aviação. Estados Unidos, China, Japão, Singapura, Alemanha, Noruega e México já fabricam o insumo.
Em uma indústria global que ainda engatinha, o Brasil tem uma oportunidade de se colocar como ator central, vislumbram especialistas − seja pela experiência do país com a produção de biocombustíveis, seja pela quantidade de biomassa disponível para a fabricação de SAF. "Se há um lugar no mundo em que a produção em larga escala de SAF vai dar certo, é no Brasil", pressupõe a bioquímica Glaucia Mendes Souza, do Instituto de Química da USP e membro da coordenação do Programa FAPESP de Pesquisa em Bionergia (Bioen).
Retirado e adaptado de: JONES, Frances. Brasil se prepara para produzir combustível sustentável de aviação. Revista Pesquisa FAPESP. Disponível em: https://revistapesquisa.fapesp.br/brasil-se-prepara-paraproduzir-combustivel-sustentavel-de-aviacao/ Acesso em: 26 fev., 2024.

Assinale a alternativa que apresenta corretamente, entre parênteses, a classificação da relação de sentido indicada à sua respectiva sentença:
 

Provas

Questão presente nas seguintes provas
3103754 Ano: 2024
Disciplina: Português
Banca: FURB
Orgão: Pref. Guabiruba-SC
Provas:
O texto seguinte servirá de base para responder à questão.
 
 
Brasil se prepara para produzir combustível sustentável de aviação
 
No fim de 2023, um Boeing 787 da companhia aérea britânica Virgin Atlantic voou de Londres a Nova York movido 100% a combustível sustentável. O primeiro voo transatlântico de uma grande aeronave comercial a não usar uma gota sequer do querosene de aviação de base fóssil ganhou manchetes e foi chamado de histórico. Segundo a empresa, o combustível alternativo feito à base de óleo de cozinha usado e gordura animal, misturado a 12% de querosene aromático sintético − de origem não fóssil −, proporcionou uma redução de até 70% nas emissões de gases de efeito estufa (GEE), em comparação com um voo no mesmo trecho usando querosene de aviação tradicional.
Para fazer o voo de demonstração, a Virgin Atlantic obteve uma autorização especial. Hoje, as companhias aéreas podem misturar em seus tanques um máximo de 50% de combustível sustentável de aviação, mais conhecido pela sigla SAF (sustainable aviation fuel), seguindo normas estabelecidas pela Sociedade Americana de Testes e Materiais (ASTM) e pela Agência Nacional do Petróleo, Gás Natural e Biocombustíveis (ANP).
O SAF pode ser obtido a partir de diferentes rotas tecnológicas e com matérias-primas que vão de oleaginosas a etanol e resíduos sólidos urbanos. Em comum, todos os insumos têm carbono, que é o principal percursor dos hidrocarbonetos constituintes do SAF. A ideia é que os aviões sejam abastecidos com querosene de aviação ou SAF − ou uma mistura dos dois. Isso porque a molécula de SAF é praticamente idêntica à do querosene de base fóssil, o que dispensa modificações nos motores dos aviões e na infraestrutura de abastecimento.
A restrição a uma mistura de SAF superior a 50% se dá por questões de segurança. "Nem todas as rotas de SAF produzem na sua composição uma quantidade suficiente de hidrocarbonetos do tipo aromático, importantes para impedir uma mudança na viscosidade do combustível ou o congelamento do líquido em grandes altitudes", explica o engenheiro mecânico Fernando Catalano, diretor da Escola de Engenharia de São Carlos da Universidade de São Paulo (Eesc-USP).
O querosene fóssil é uma mistura de hidrocarbonetos de vários tipos e leva em geral entre 10% e 25% de aromáticos, considerados poluentes, mas necessários. "É um problema ainda não resolvido, mas que deverá ser superado com o tempo", diz Catalano, destacando outros dois entraves para o emprego de SAF em ampla escala no momento: a produção global, ainda muito pequena ante a demanda, e o custo, estimado entre três e cinco vezes o do querosene de aviação.
A brasileira Embraer também tem realizado ensaios com SAF em seus aviões. Em junho de 2022, um jato comercial E195-E2 da companhia voou com 100% do biocombustível em um de seus dois motores. Mais recentemente, em outubro de 2023, dois jatos executivos da fabricante de São José dos Campos decolaram em um voo de teste apenas com o combustível sustentável de aviação em seus tanques.
O SAF é a grande aposta do setor aéreo para reduzir de forma mais rápida a sua pegada de carbono. Os estados-membros da Organização da Aviação Civil Internacional (Oaci) aprovaram em 2022 uma meta global de zerar as emissões de carbono do setor até 2050. No final de 2023, em uma reunião nos Emirados Árabes Unidos, os estados-membros se comprometeram a reduzir as emissões de CO2 da aviação internacional em 5% até 2030.
Em 2023, foram produzidos mais de 600 milhões de litros de SAF, o dobro do ano anterior, de acordo com a Associação Internacional de Transportes Aéreos (Iata). A produção deve triplicar este ano. Apesar do aumento, esse volume representará apenas 0,53% da demanda global por combustível de aviação. Estados Unidos, China, Japão, Singapura, Alemanha, Noruega e México já fabricam o insumo.
Em uma indústria global que ainda engatinha, o Brasil tem uma oportunidade de se colocar como ator central, vislumbram especialistas − seja pela experiência do país com a produção de biocombustíveis, seja pela quantidade de biomassa disponível para a fabricação de SAF. "Se há um lugar no mundo em que a produção em larga escala de SAF vai dar certo, é no Brasil", pressupõe a bioquímica Glaucia Mendes Souza, do Instituto de Química da USP e membro da coordenação do Programa FAPESP de Pesquisa em Bionergia (Bioen).
Retirado e adaptado de: JONES, Frances. Brasil se prepara para produzir combustível sustentável de aviação. Revista Pesquisa FAPESP. Disponível em: https://revistapesquisa.fapesp.br/brasil-se-prepara-paraproduzir-combustivel-sustentavel-de-aviacao/ Acesso em: 26 fev., 2024.
 

Analise as relações coesivas no texto e indique o referente de cada um dos termos anafóricos apresentados a seguir:

  1. fabricante de São José dos Campos (sexto parágrafo)
    1. Embraer
    2. companhia
  2. problema ainda não resolvido (quinto parágrafo)
    1. O querosene fóssil é uma mistura de hidrocarbonetos de vários tipos
    2. O querosene fóssil é uma mistura de hidrocarbonetos de vários tipos e leva em geral entre 10% e 25% de aromáticos, considerados poluentes (primeiro parágrafo)
  3. O primeiro voo transatlântico de uma grande aeronave comercial a não usar uma gota sequer do querosene de aviação de base fóssil
    1. Londres a Nova York
    2. Boeing 787 da companhia aérea britânica Virgin Atlantic
  4. esse volume (oitavo parágrafo)
    1. Em 2023, foram produzidos mais de 600 milhões de litros de SAF, o dobro do ano anterior, de acordo com a Associação Internacional de Transportes Aéreos (Iata). A produção deve triplicar este ano.
    2. 600 milhões de litros

Assinale a alternativa que apresenta a correta associação:

 

Provas

Questão presente nas seguintes provas
3103753 Ano: 2024
Disciplina: Português
Banca: FURB
Orgão: Pref. Guabiruba-SC
Provas:
O texto seguinte servirá de base para responder à questão.


Brasil se prepara para produzir combustível sustentável de aviação

No fim de 2023, um Boeing 787 da companhia aérea britânica Virgin Atlantic voou de Londres a Nova York movido 100% a combustível sustentável. O primeiro voo transatlântico de uma grande aeronave comercial a não usar uma gota sequer do querosene de aviação de base fóssil ganhou manchetes e foi chamado de histórico. Segundo a empresa, o combustível alternativo feito à base de óleo de cozinha usado e gordura animal, misturado a 12% de querosene aromático sintético − de origem não fóssil −, proporcionou uma redução de até 70% nas emissões de gases de efeito estufa (GEE), em comparação com um voo no mesmo trecho usando querosene de aviação tradicional.
Para fazer o voo de demonstração, a Virgin Atlantic obteve uma autorização especial. Hoje, as companhias aéreas podem misturar em seus tanques um máximo de 50% de combustível sustentável de aviação, mais conhecido pela sigla SAF (sustainable aviation fuel), seguindo normas estabelecidas pela Sociedade Americana de Testes e Materiais (ASTM) e pela Agência Nacional do Petróleo, Gás Natural e Biocombustíveis (ANP).
O SAF pode ser obtido a partir de diferentes rotas tecnológicas e com matérias-primas que vão de oleaginosas a etanol e resíduos sólidos urbanos. Em comum, todos os insumos têm carbono, que é o principal percursor dos hidrocarbonetos constituintes do SAF. A ideia é que os aviões sejam abastecidos com querosene de aviação ou SAF − ou uma mistura dos dois. Isso porque a molécula de SAF é praticamente idêntica à do querosene de base fóssil, o que dispensa modificações nos motores dos aviões e na infraestrutura de abastecimento.
A restrição a uma mistura de SAF superior a 50% se dá por questões de segurança. "Nem todas as rotas de SAF produzem na sua composição uma quantidade suficiente de hidrocarbonetos do tipo aromático, importantes para impedir uma mudança na viscosidade do combustível ou o congelamento do líquido em grandes altitudes", explica o engenheiro mecânico Fernando Catalano, diretor da Escola de Engenharia de São Carlos da Universidade de São Paulo (Eesc-USP).
O querosene fóssil é uma mistura de hidrocarbonetos de vários tipos e leva em geral entre 10% e 25% de aromáticos, considerados poluentes, mas necessários. "É um problema ainda não resolvido, mas que deverá ser superado com o tempo", diz Catalano, destacando outros dois entraves para o emprego de SAF em ampla escala no momento: a produção global, ainda muito pequena ante a demanda, e o custo, estimado entre três e cinco vezes o do querosene de aviação.
A brasileira Embraer também tem realizado ensaios com SAF em seus aviões. Em junho de 2022, um jato comercial E195-E2 da companhia voou com 100% do biocombustível em um de seus dois motores. Mais recentemente, em outubro de 2023, dois jatos executivos da fabricante de São José dos Campos decolaram em um voo de teste apenas com o combustível sustentável de aviação em seus tanques.
O SAF é a grande aposta do setor aéreo para reduzir de forma mais rápida a sua pegada de carbono. Os estados-membros da Organização da Aviação Civil Internacional (Oaci) aprovaram em 2022 uma meta global de zerar as emissões de carbono do setor até 2050. No final de 2023, em uma reunião nos Emirados Árabes Unidos, os estados-membros se comprometeram a reduzir as emissões de CO2 da aviação internacional em 5% até 2030.
Em 2023, foram produzidos mais de 600 milhões de litros de SAF, o dobro do ano anterior, de acordo com a Associação Internacional de Transportes Aéreos (Iata). A produção deve triplicar este ano. Apesar do aumento, esse volume representará apenas 0,53% da demanda global por combustível de aviação. Estados Unidos, China, Japão, Singapura, Alemanha, Noruega e México já fabricam o insumo.
Em uma indústria global que ainda engatinha, o Brasil tem uma oportunidade de se colocar como ator central, vislumbram especialistas − seja pela experiência do país com a produção de biocombustíveis, seja pela quantidade de biomassa disponível para a fabricação de SAF. "Se há um lugar no mundo em que a produção em larga escala de SAF vai dar certo, é no Brasil", pressupõe a bioquímica Glaucia Mendes Souza, do Instituto de Química da USP e membro da coordenação do Programa FAPESP de Pesquisa em Bionergia (Bioen).
Retirado e adaptado de: JONES, Frances. Brasil se prepara para produzir combustível sustentável de aviação. Revista Pesquisa FAPESP. Disponível em: https://revistapesquisa.fapesp.br/brasil-se-prepara-paraproduzir-combustivel-sustentavel-de-aviacao/ Acesso em: 26 fev., 2024.

A partir da leitura atenta do texto, analise as afirmações a seguir. Marque V, para verdadeiro, e F, para falso:

(__) Embora esteja em pleno crescimento, a produção de SAF ainda é insuficiente para abastecer a demanda mundial.

(__) A preocupação com a produção do SAF neste momento da história é que esse combustível ainda não é considerado seguro.

(__) O Brasil pode se apresentar como uma potência na produção do combustível sustentável, exclusivamente porque é um país no qual há muita matéria-prima.

(__) Já foram realizados voos nacionais brasileiros abastecidos exclusivamente com o combustível sustentável.

(__) A necessidade de emprego de combustíveis fósseis é um problema ainda sem solução no cenário internacional de aviação.

Assinale a alternativa que apresenta a ordem correta:

 

Provas

Questão presente nas seguintes provas