Magna Concursos

Foram encontradas 69 questões.

3594280 Ano: 2025
Disciplina: Noções de Primeiros Socorros
Banca: OBJETIVA
Orgão: Pref. Gramado-RS
O soro antiofídico é essencial para a saúde pública, pois é um medicamento vital para:
 

Provas

Questão presente nas seguintes provas
3594279 Ano: 2025
Disciplina: Estatística
Banca: OBJETIVA
Orgão: Pref. Gramado-RS
A tabela abaixo apresenta as notas obtidas por um grupo de alunos em 5 disciplinas: Matemática, Geografia, História, Ciências e Português. Considerando os dados da tabela, assinalar a alternativa CORRETA.

Enunciado 4182005-1
 

Provas

Questão presente nas seguintes provas
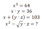
3594278 Ano: 2025
Disciplina: Matemática
Banca: OBJETIVA
Orgão: Pref. Gramado-RS

Resolver as operações abaixo na sequência e assinalar a alternativa que corresponde ao resultado da última operação.

Enunciado 4182004-1

 

Provas

Questão presente nas seguintes provas
3594277 Ano: 2025
Disciplina: Matemática Financeira
Banca: OBJETIVA
Orgão: Pref. Gramado-RS
Pedro contraiu um empréstimo de R$ 7.200,00, com uma taxa de juros simples mensal de 5%, e pretende quitar sua dívida em 10 meses. Sabendo disso, assinalar a alternativa que corresponde ao montante que Pedro deverá pagar.
 

Provas

Questão presente nas seguintes provas
3594276 Ano: 2025
Disciplina: Matemática
Banca: OBJETIVA
Orgão: Pref. Gramado-RS
Dadas as funções f(x) = −x² + 2x − 12 e g(x) = 4x – 15, assinalar a alternativa que corresponde à f(g(6)).
 

Provas

Questão presente nas seguintes provas
3594275 Ano: 2025
Disciplina: Matemática
Banca: OBJETIVA
Orgão: Pref. Gramado-RS
Em uma progressão aritmética, o quarto termo é igual a 13, e o nono é igual a 28. Sabendo−se disso, assinalar a alternativa que apresenta a soma dos dez primeiros termos dessa progressão.
 

Provas

Questão presente nas seguintes provas
3594274 Ano: 2025
Disciplina: Matemática
Banca: OBJETIVA
Orgão: Pref. Gramado-RS
Uma equipe de fotografia vai selecionar quatro das sete melhores fotos para uma exposição. Sabendo que a ordem das fotos escolhidas não importa, de quantas maneiras diferentes é possível fazer essa seleção?
 

Provas

Questão presente nas seguintes provas
3594273 Ano: 2025
Disciplina: Matemática
Banca: OBJETIVA
Orgão: Pref. Gramado-RS

Observar a figura.

Enunciado 4181999-1

Considerando que ABCD é um quadrado, assinalar a alternativa que corresponde à área da figura, sabendo−se que BC = 3cm.

(Considere π = 3,14)

 

Provas

Questão presente nas seguintes provas
3594272 Ano: 2025
Disciplina: Matemática
Banca: OBJETIVA
Orgão: Pref. Gramado-RS
O salário de um funcionário foi reajustado em 12%. Se, após o aumento, o salário passou a ser R$ 5.600,00, qual era o salário antes do reajuste?
 

Provas

Questão presente nas seguintes provas
3594271 Ano: 2025
Disciplina: Português
Banca: OBJETIVA
Orgão: Pref. Gramado-RS
Em relação ao uso de homônimos e parônimos, analisar os itens.

I. As palavras “consertar” e “concertar” são parônimas.
II. As palavras “cumprimento” e “comprimento” são homônimas.
III. As palavras “denúncia” e “denuncia” são homônimas.

Está CORRETO o que se afirma:
 

Provas

Questão presente nas seguintes provas