Foram encontradas 340 questões.
Segundo a Lei Orgânica do Município, o processo
legislativo compreende:
Provas
Questão presente nas seguintes provas
Conforme a Lei Orgânica do Município, são poderes do
Município:
Provas
Questão presente nas seguintes provas
Com base na Constituição Federal, é vedada a cassação
de direitos políticos, cuja perda ou suspensão só se dará nos
casos de:
I. Cancelamento da naturalização por sentença transitada em julgado.
II. Incapacidade civil absoluta.
III. Condenação criminal transitada em julgado, enquanto durarem seus efeitos.
Está CORRETO o que se afirma:
I. Cancelamento da naturalização por sentença transitada em julgado.
II. Incapacidade civil absoluta.
III. Condenação criminal transitada em julgado, enquanto durarem seus efeitos.
Está CORRETO o que se afirma:
Provas
Questão presente nas seguintes provas
A imagem abaixo apresenta o ícone "Aa", destacado na
barra de ferramentas do Microsoft Word 2016. Qual é a
função deste ícone?


Provas
Questão presente nas seguintes provas
O sistema de governo brasileiro que se caracteriza pela
divisão de poderes entre o governo central e suas unidades
federativas, com autonomia para cada um exercer suas
competências, trata−se do modelo de governo:
Provas
Questão presente nas seguintes provas
3781516
Ano: 2024
Disciplina: Atualidades e Conhecimentos Gerais
Banca: OBJETIVA
Orgão: Pref. Gentil-RS
Disciplina: Atualidades e Conhecimentos Gerais
Banca: OBJETIVA
Orgão: Pref. Gentil-RS
Provas:
A empresa japonesa Oji Holdings parou de fabricar
fraldas para bebês e decidiu focar no mercado para adultos.
Há mais de 10 anos que a demanda por fraldas geriátricas
ultrapassa a de fraldas infantis no país. Assinalar a
alternativa que NÃO representa um dos motivos que
levaram a esse cenário, que afeta tanto o Japão quanto
outros países do leste asiático.
Provas
Questão presente nas seguintes provas
A operação Δ entre os números inteiros e positivos,
digamos A e B, é definida como sendo A Δ B = (A * B)². Sendo
assim, qual o resultado da operação (3 Δ 4)+(4 Δ 5)?
Provas
Questão presente nas seguintes provas
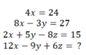
Resolver as operações abaixo na sequência e assinalar a
alternativa que corresponde ao resultado da última
operação.


Provas
Questão presente nas seguintes provas
Anne contraiu um empréstimo de R$ 12.000,00 sob uma
taxa de juros simples mensal de 9% e pretende quitar sua
dívida em 7 meses. Assinalar a alternativa que corresponde
ao montante que Anne deverá pagar.
Provas
Questão presente nas seguintes provas
Determinado terreno, de formato retangular, será
dividido para a construção de campos esportivos. O terreno
tem as medidas apresentadas e será dividido conforme a
imagem abaixo. As partes A e B são do mesmo tamanho, e
cada uma delas é da metade do tamanho da parte C. A parte
D tem o dobro do tamanho da parte C, e a parte E, o dobro
da D.
Considerando−se as informações acima, assinalar a alternativa que apresenta, respectivamente, as medidas da área e do perímetro da parte B.
Considerando−se as informações acima, assinalar a alternativa que apresenta, respectivamente, as medidas da área e do perímetro da parte B.
Provas
Questão presente nas seguintes provas
Cadernos
Caderno Container