Foram encontradas 40 questões.
No primeiro semestre, em uma escola, a razão entre a
quantidade de meninas e de meninos era de três oitavos.
No início do segundo semestre, 10 meninas saíram da
escola e entraram mais 20 meninos. Dessa forma, a
quantidade de meninas passou a ser de 25% do total de
estudantes da escola. Pode-se afirmar que o total de
alunos da escola, no primeiro semestre, era de:
Provas
Questão presente nas seguintes provas
Maria irá fazer uma receita na qual deve usar três
quartos de 1kg de farinha. Pode-se afirmar que a
quantidade de farinha necessária, em gramas, para
produzir essa receita, é de:
Provas
Questão presente nas seguintes provas
Em uma escola, foi realizada uma pesquisa sobre a
qualidade dos produtos vendidos na cantina e cada
estudante atribuiu uma nota de 0 a 10. A média das
notas dos 120 estudantes do período matutino foi igual a
7,0. A média das notas dos 80 estudantes do período
vespertino foi 8,5. Pode-se afirmar que a média
aritmética de todas as notas, considerando todos os 200
estudantes, foi de:
Provas
Questão presente nas seguintes provas
Helena foi ao mercado com uma nota de 100 reais. Ela
comprou um pacote de arroz por R$ 7,50; um quilo de
carne por R$ 58,90 e um pacote de pão por R$ 6,20. Ao
pagar esses itens com a nota de 100 reais, pode-se
afirmar que o troco recebido por ela foi:
Provas
Questão presente nas seguintes provas
Analise a figura a seguir em que é destacado um ângulo:
O ângulo α em destaque é classificado como um ângulo:
O ângulo α em destaque é classificado como um ângulo:
Provas
Questão presente nas seguintes provas
Um professor apresentou algumas medidas de
segmentos como possíveis lados de um triângulo.
Analisando as alternativas, assinale aquela cujas
medidas podem realmente formar um triângulo:
Provas
Questão presente nas seguintes provas
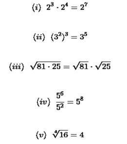
Analise as igualdades a seguir:
Pode-se afirmar que as igualdades corretas são:
Pode-se afirmar que as igualdades corretas são:
Provas
Questão presente nas seguintes provas
Para fazer parte do grêmio da escola, candidataram-se
20 estudantes. Desses, 12 eram alunos do 7º ano e o
restante eram alunos do 8º ano. Pode-se afirmar que,
dentre os que se candidataram, o percentual de
estudantes do 8º ano era, em %, de:
Provas
Questão presente nas seguintes provas
A construção de uma prática educacional orientada por
princípios éticos exige do professor uma postura que
transcenda a mera transmissão de conteúdos,
integrando-se ao projeto pedagógico da escola como
agente de transformação social. Considerando os
fundamentos da ética profissional docente e sua
aplicabilidade no cotidiano escolar, o princípio que deve
fundamentar prioritariamente a atuação do professor
diante de situações que envolvam conflitos entre
interesses individuais dos estudantes e normas
institucionais é:
Provas
Questão presente nas seguintes provas
No contexto educacional contemporâneo, as relações humanas estabelecidas no ambiente escolar são fundamentais para a efetivação de práticas pedagógicas transformadoras. Considerando os fundamentos teóricos sobre intersubjetividade, clima organizacional e desenvolvimento profissional docente, analise as afirmativas a seguir sobre os princípios que sustentam relações humanas saudáveis e produtivas no ambiente escolar:
I. A construção de um ambiente educativo interdisciplinar pressupõe a eliminação das barreiras entre pessoas antes mesmo da integração formal entre disciplinas, fundamentando-se no reconhecimento mútuo de competências e limites, na valorização recíproca e na capacidade de questionamento constante das próprias posições assumidas.
II. O desenvolvimento de relações humanas pautadas na racionalidade comunicativa requer a superação do paradigma da subjetividade pelo paradigma da intersubjetividade, reconhecendo que o espírito subjetivo obtém sua estrutura a partir do engajamento em relações entre sujeitos socializados.
III. A construção de um projeto pedagógico coletivo dispensa a explicitação de projetos pessoais de vida dos educadores, uma vez que a dimensão institucional deve prevalecer sobre as trajetórias individuais para garantir a coesão organizacional.
É correto o que se afirma em:
I. A construção de um ambiente educativo interdisciplinar pressupõe a eliminação das barreiras entre pessoas antes mesmo da integração formal entre disciplinas, fundamentando-se no reconhecimento mútuo de competências e limites, na valorização recíproca e na capacidade de questionamento constante das próprias posições assumidas.
II. O desenvolvimento de relações humanas pautadas na racionalidade comunicativa requer a superação do paradigma da subjetividade pelo paradigma da intersubjetividade, reconhecendo que o espírito subjetivo obtém sua estrutura a partir do engajamento em relações entre sujeitos socializados.
III. A construção de um projeto pedagógico coletivo dispensa a explicitação de projetos pessoais de vida dos educadores, uma vez que a dimensão institucional deve prevalecer sobre as trajetórias individuais para garantir a coesão organizacional.
É correto o que se afirma em:
Provas
Questão presente nas seguintes provas
Cadernos
Caderno Container