Magna Concursos

Foram encontradas 40 questões.

3947813 Ano: 2025
Disciplina: Matemática
Banca: INDEC
Orgão: Pref. Araras-SP
Na cidade de Gomoméia, o Domo da Sabedoria é uma semiesfera perfeita de raio R que repousa sobre o solo. Do topo do Domo, ergue-se a Torre do Vigia. Um observador, posicionado no solo a 100 metros da borda da base do Domo, realiza duas medições: a tangente do ângulo de elevação até o topo do Domo (base da Torre) é 0.5, e o ângulo de elevação até a ponta da Torre é de 45 graus. Com base exclusivamente nestes dados, a altura da Torre do Vigia, medida do topo do Domo até a sua ponta, é de:
 

Provas

Questão presente nas seguintes provas
3947812 Ano: 2025
Disciplina: Matemática
Banca: INDEC
Orgão: Pref. Araras-SP
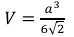
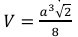
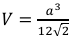
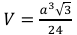
No tetraedro regular de aresta a, o volume V em função de a é dado por qual expressão:
 

Provas

Questão presente nas seguintes provas
3947811 Ano: 2025
Disciplina: Matemática
Banca: INDEC
Orgão: Pref. Araras-SP
A equação trigonométrica A * cos(B*x + C) + D = K, com A != 0, descreve um fenômeno oscilatório. Para que esta equação possua solução real para x, qual condição os parâmetros devem necessariamente satisfazer?
 

Provas

Questão presente nas seguintes provas
3947810 Ano: 2025
Disciplina: Matemática
Banca: INDEC
Orgão: Pref. Araras-SP
Fora da tradição euclidiana, Bernhard Riemann reformulou o objeto da geometria. Indique sua importância histórica para a disciplina:
 

Provas

Questão presente nas seguintes provas
3947809 Ano: 2025
Disciplina: Matemática
Banca: INDEC
Orgão: Pref. Araras-SP
Em uma reunião com 12 pessoas, todas se cumprimentam com um aperto de mão, uma única vez. O número total de apertos de mão realizados é:
 

Provas

Questão presente nas seguintes provas
3947808 Ano: 2025
Disciplina: Pedagogia
Banca: INDEC
Orgão: Pref. Araras-SP
A abordagem etnomatemática, proposta por Ubiratan D'Ambrosio, redefine a relação entre a matemática acadêmica e as práticas matemáticas de diferentes grupos culturais. O princípio fundamental que orienta essa perspectiva pedagógica é o:
 

Provas

Questão presente nas seguintes provas
3947807 Ano: 2025
Disciplina: Matemática
Banca: INDEC
Orgão: Pref. Araras-SP
Em circunferência, seja P um ponto de tangência e PQ uma corda. Sobre a relação entre o ângulo formado pela tangente em P e a corda PQ e os arcos correspondentes, assinale a alternativa correta:
 

Provas

Questão presente nas seguintes provas
3947806 Ano: 2025
Disciplina: Matemática
Banca: INDEC
Orgão: Pref. Araras-SP
Segundo a teoria de matrizes, uma matriz quadrada A de ordem n é dita inversível (ou não-singular) se, e somente se:
 

Provas

Questão presente nas seguintes provas
3947805 Ano: 2025
Disciplina: Estatística
Banca: INDEC
Orgão: Pref. Araras-SP
Ao analisar um conjunto de dados com distribuição assimétrica, como a renda de uma população, a escolha da medida de tendência central mais robusta e representativa do "valor típico" é crucial. Em um conjunto de dados que possui alguns valores extremamente altos (outliers), a medida que sofrerá a maior alteração e será menos representativa é a:
 

Provas

Questão presente nas seguintes provas
3947804 Ano: 2025
Disciplina: Física
Banca: INDEC
Orgão: Pref. Araras-SP
Em um projeto de modelagem matemática com dados ruidosos, deseja-se que o problema de estimação de parâmetros seja bem-posto no sentido de Hadamard, garantindo confiabilidade teórica antes da escolha do método numérico. Assinale a alternativa correta:
 

Provas

Questão presente nas seguintes provas